mp-574070/Cs4Pb9/anharm

Harmonic properties

../../_images/fig_bandos_pr6730.png

(a) Phonon dispersion with participation ratio and DOS

../../_images/fig_thermo6730.png

(b) Thermodynamic properties

Grüneisen parameters

../../_images/fig_gru_all2758.png

(a) Grüneisen parameters

../../_images/fig_gruneisen2758.png

(b) Phonon dispersion with Grüneisen parameters

Thermal conductivity

3-phonon (LASSO) — q-mesh: 7x5x4, supercell: 2x1x1

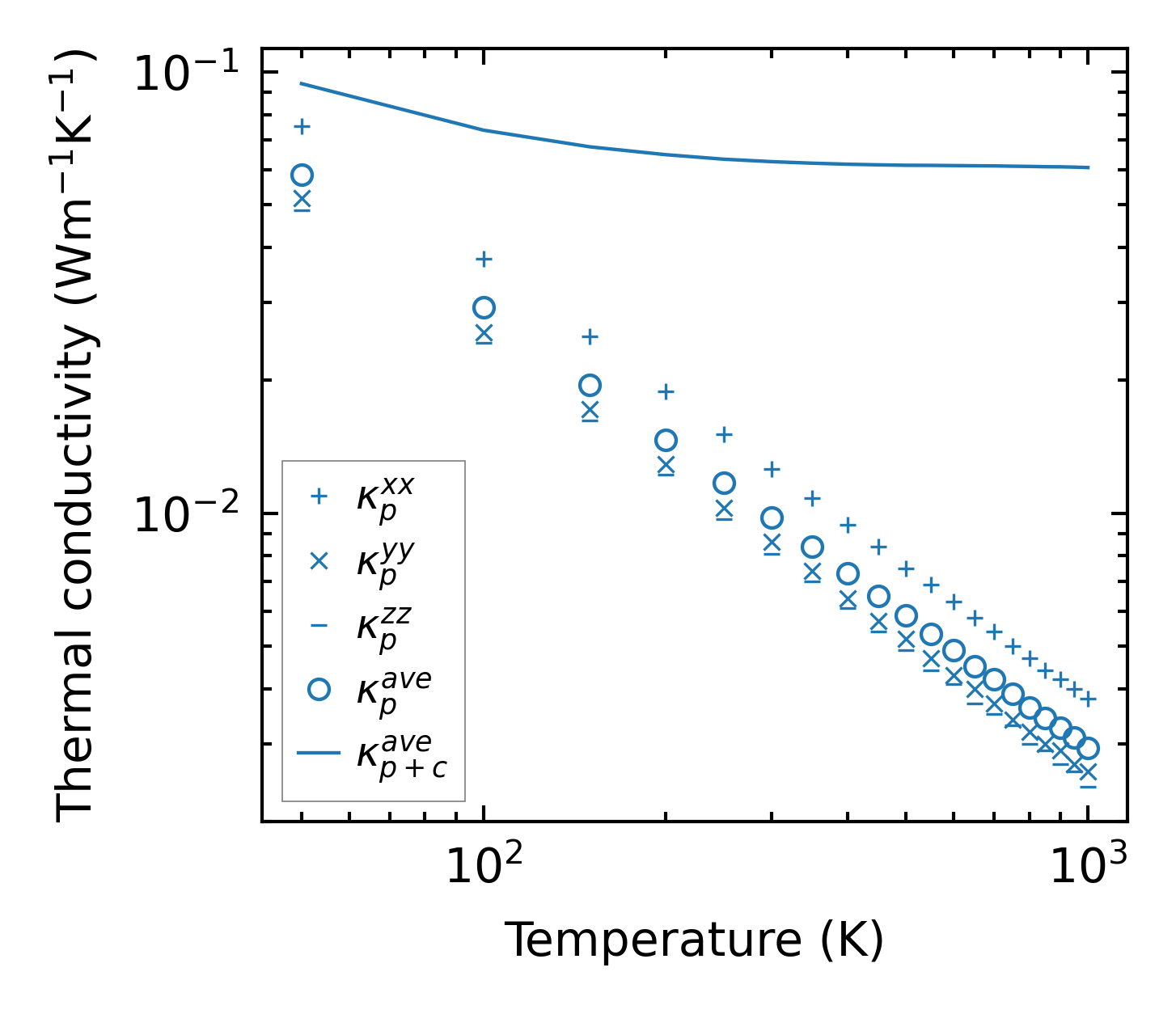
../../_images/fig_kappa5242.png

(a) Temperature-dependent lattice thermal conductivity

../../_images/fig_kappa_vs_grain_size2799.png

(b) Peierls lattice thermal conductivity w.r.t grain size

Phonon lifetime and scattering rates

../../_images/fig_lifetime2734.png

(a) Phonon lifetime due to phonon-phonon scattering

../../_images/fig_scat_rates2733.png

(b) Phonon scattering rates

Cumulative and spectral thermal conductivity

../../_images/fig_cumu_frequency2734.png

(a) Spectral and cumulative thermal conductivity w.r.t frequency

../../_images/fig_cumu_mfp2733.png

(b) Spectral and cumulative thermal conductivity w.r.t MFP

Force constants

../../_images/fig_fc26519.png

(a) Force constants w.r.t atomic distance

Summary

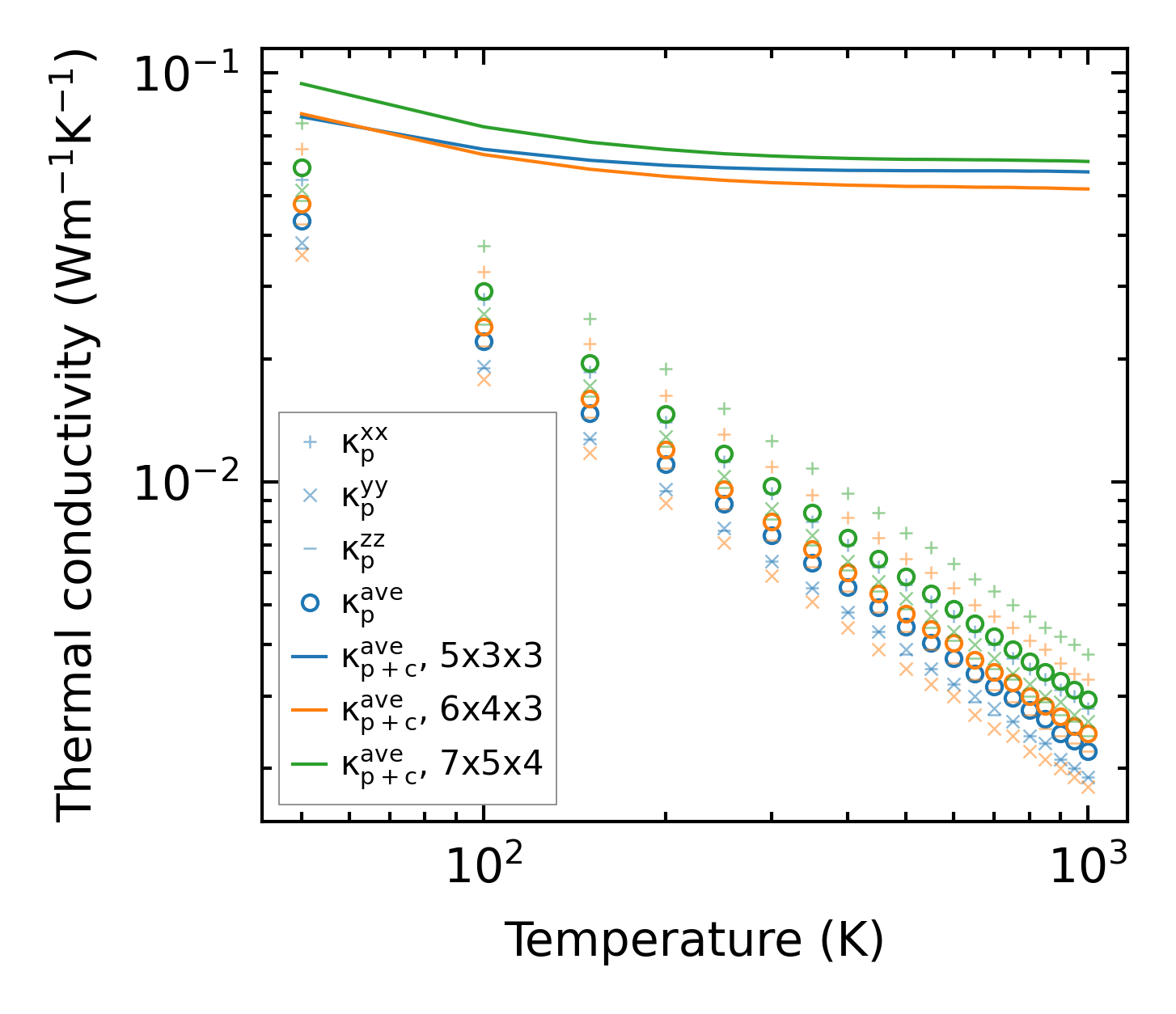
../../_images/fig_kappa5243.png

(a) Temperature-dependent lattice thermal conductivity

../../_images/fig_times12085.png

(b) Computation time