mp-573815/ReI3/anharm

Harmonic properties

../../_images/fig_bandos_pr6724.png

(a) Phonon dispersion with participation ratio and DOS

../../_images/fig_thermo6724.png

(b) Thermodynamic properties

Grüneisen parameters

../../_images/fig_gru_all2754.png

(a) Grüneisen parameters

../../_images/fig_gruneisen2754.png

(b) Phonon dispersion with Grüneisen parameters

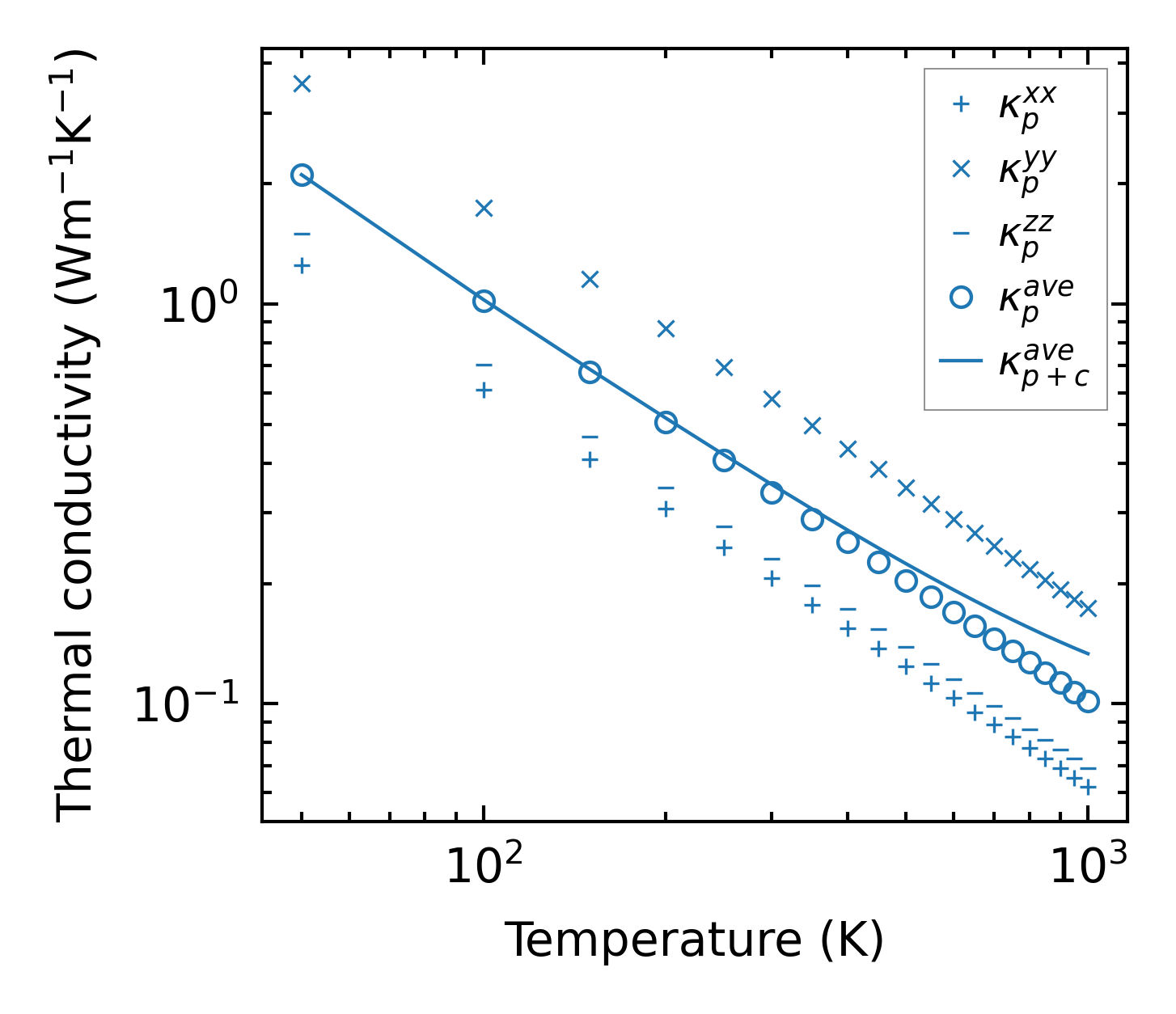
Thermal conductivity

3-phonon (LASSO) — q-mesh: 8x6x7, supercell: 2x1x2

../../_images/fig_kappa5235.png

(a) Temperature-dependent lattice thermal conductivity

../../_images/fig_kappa_vs_grain_size2795.png

(b) Peierls lattice thermal conductivity w.r.t grain size

Phonon lifetime and scattering rates

../../_images/fig_lifetime2730.png

(a) Phonon lifetime due to phonon-phonon scattering

../../_images/fig_scat_rates2729.png

(b) Phonon scattering rates

Cumulative and spectral thermal conductivity

../../_images/fig_cumu_frequency2730.png

(a) Spectral and cumulative thermal conductivity w.r.t frequency

../../_images/fig_cumu_mfp2729.png

(b) Spectral and cumulative thermal conductivity w.r.t MFP

Force constants

../../_images/fig_fc26513.png

(a) Force constants w.r.t atomic distance

Summary

../../_images/fig_kappa5236.png

(a) Temperature-dependent lattice thermal conductivity

../../_images/fig_times12077.png

(b) Computation time