mp-573635/Ba2In2Se5/anharm

Harmonic properties

../../_images/fig_bandos_pr6717.png

(a) Phonon dispersion with participation ratio and DOS

../../_images/fig_thermo6717.png

(b) Thermodynamic properties

Grüneisen parameters

../../_images/fig_gru_all2747.png

(a) Grüneisen parameters

../../_images/fig_gruneisen2747.png

(b) Phonon dispersion with Grüneisen parameters

Thermal conductivity

3-phonon (LASSO) — q-mesh: 5x5x5, supercell: 2x1x1

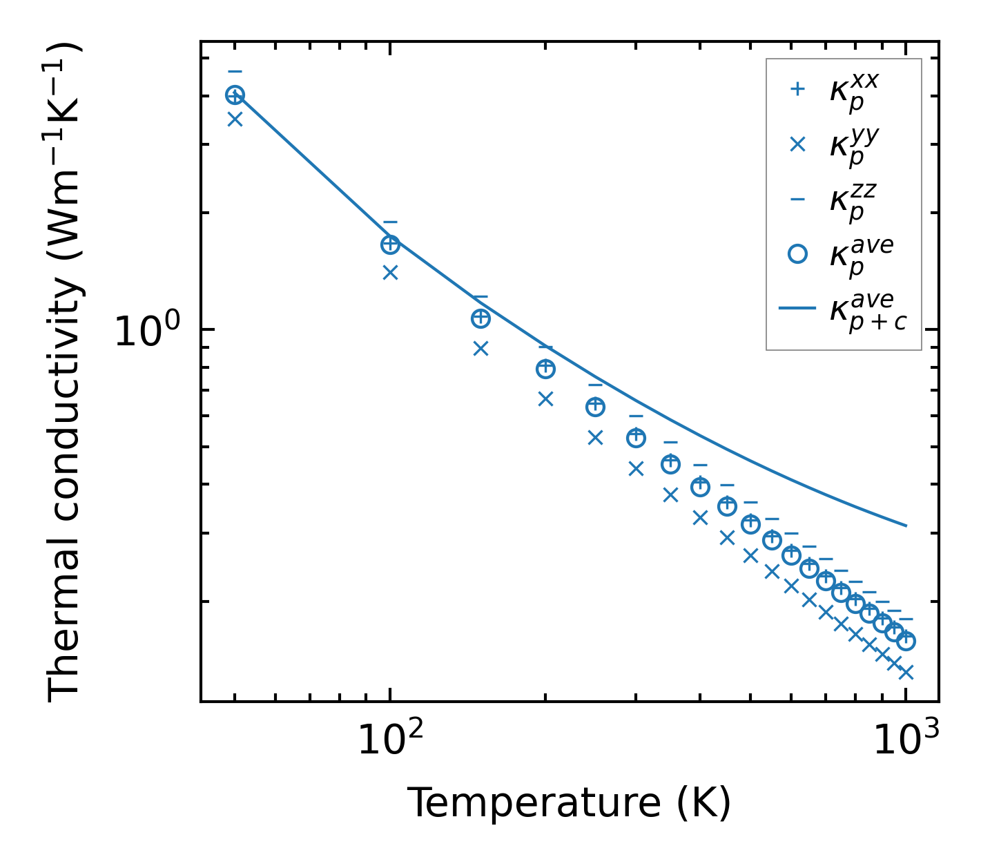
../../_images/fig_kappa5221.png

(a) Temperature-dependent lattice thermal conductivity

../../_images/fig_kappa_vs_grain_size2788.png

(b) Peierls lattice thermal conductivity w.r.t grain size

Phonon lifetime and scattering rates

../../_images/fig_lifetime2723.png

(a) Phonon lifetime due to phonon-phonon scattering

../../_images/fig_scat_rates2722.png

(b) Phonon scattering rates

Cumulative and spectral thermal conductivity

../../_images/fig_cumu_frequency2723.png

(a) Spectral and cumulative thermal conductivity w.r.t frequency

../../_images/fig_cumu_mfp2722.png

(b) Spectral and cumulative thermal conductivity w.r.t MFP

Force constants

../../_images/fig_fc26507.png

(a) Force constants w.r.t atomic distance

Summary

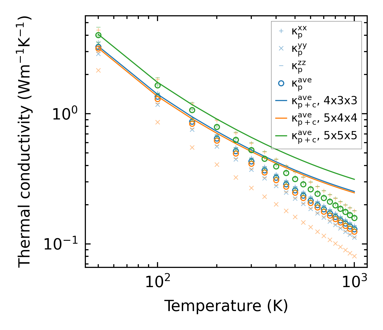
../../_images/fig_kappa5222.png

(a) Temperature-dependent lattice thermal conductivity

../../_images/fig_times12066.png

(b) Computation time