mp-573358/CsBSe3/anharm

Harmonic properties

../../_images/fig_bandos_pr6712.png

(a) Phonon dispersion with participation ratio and DOS

../../_images/fig_thermo6712.png

(b) Thermodynamic properties

Grüneisen parameters

../../_images/fig_gru_all2745.png

(a) Grüneisen parameters

../../_images/fig_gruneisen2745.png

(b) Phonon dispersion with Grüneisen parameters

Thermal conductivity

3-phonon (LASSO) — q-mesh: 9x5x11, supercell: 2x1x3

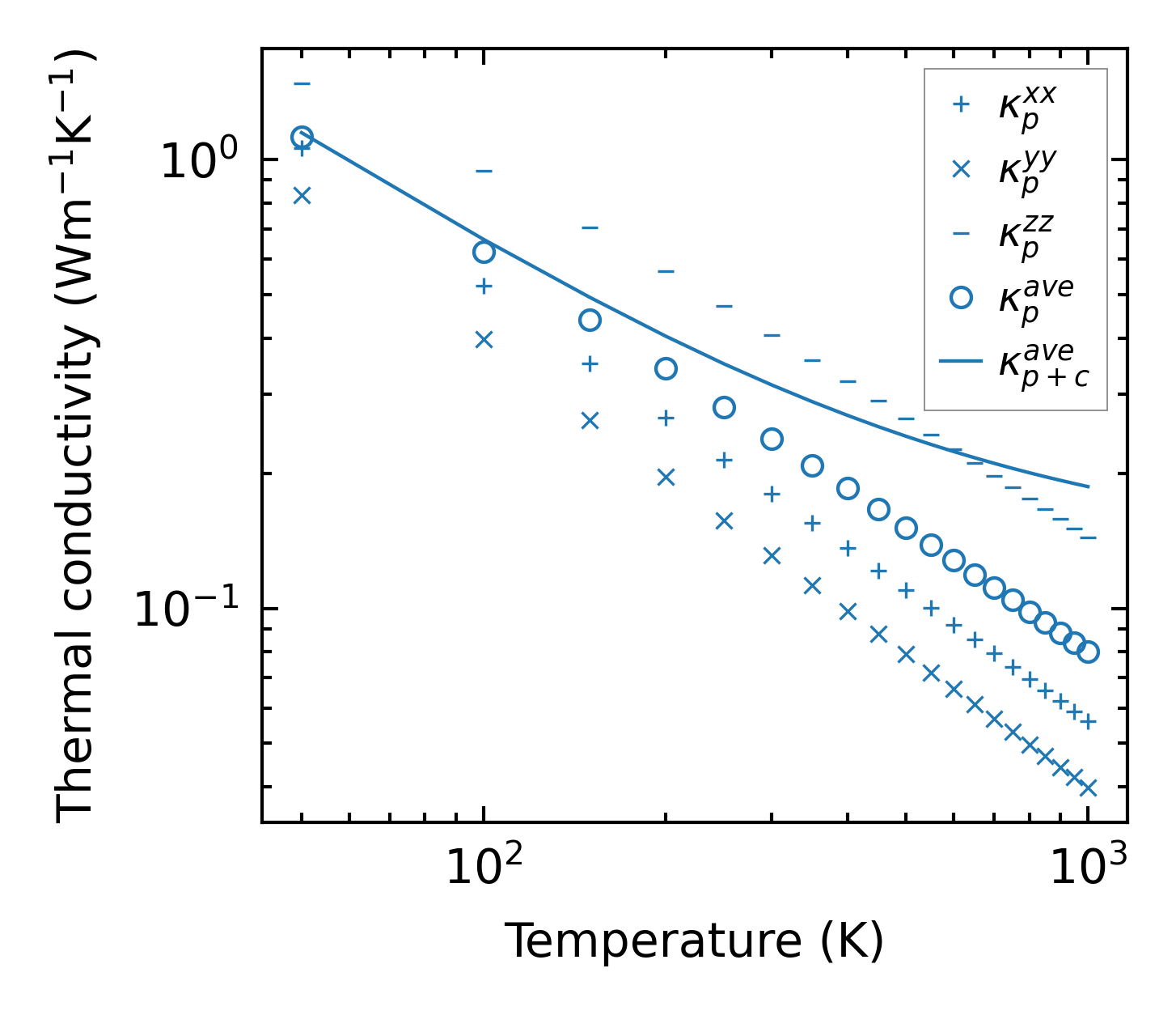
../../_images/fig_kappa5217.png

(a) Temperature-dependent lattice thermal conductivity

../../_images/fig_kappa_vs_grain_size2786.png

(b) Peierls lattice thermal conductivity w.r.t grain size

Phonon lifetime and scattering rates

../../_images/fig_lifetime2721.png

(a) Phonon lifetime due to phonon-phonon scattering

../../_images/fig_scat_rates2720.png

(b) Phonon scattering rates

Cumulative and spectral thermal conductivity

../../_images/fig_cumu_frequency2721.png

(a) Spectral and cumulative thermal conductivity w.r.t frequency

../../_images/fig_cumu_mfp2720.png

(b) Spectral and cumulative thermal conductivity w.r.t MFP

Force constants

../../_images/fig_fc26502.png

(a) Force constants w.r.t atomic distance

Summary

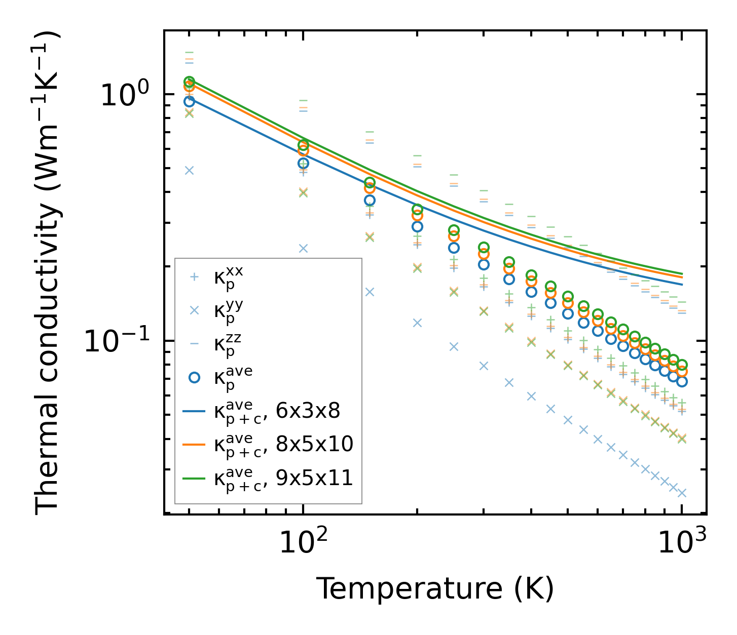
../../_images/fig_kappa5218.png

(a) Temperature-dependent lattice thermal conductivity

../../_images/fig_times12053.png

(b) Computation time