mp-573581/Na2TeSe3/anharm

Harmonic properties

../../_images/fig_bandos_pr6716.png

(a) Phonon dispersion with participation ratio and DOS

../../_images/fig_thermo6716.png

(b) Thermodynamic properties

Grüneisen parameters

../../_images/fig_gru_all2746.png

(a) Grüneisen parameters

../../_images/fig_gruneisen2746.png

(b) Phonon dispersion with Grüneisen parameters

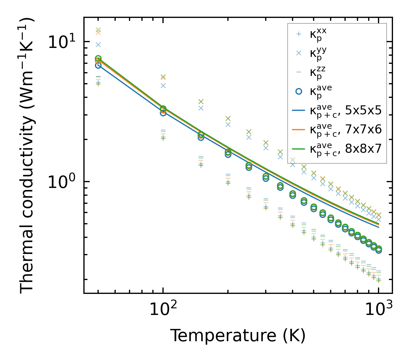
Thermal conductivity

3-phonon (LASSO) — q-mesh: 8x8x7, supercell: 1x3x1

../../_images/fig_kappa5219.png

(a) Temperature-dependent lattice thermal conductivity

../../_images/fig_kappa_vs_grain_size2787.png

(b) Peierls lattice thermal conductivity w.r.t grain size

Phonon lifetime and scattering rates

../../_images/fig_lifetime2722.png

(a) Phonon lifetime due to phonon-phonon scattering

../../_images/fig_scat_rates2721.png

(b) Phonon scattering rates

Cumulative and spectral thermal conductivity

../../_images/fig_cumu_frequency2722.png

(a) Spectral and cumulative thermal conductivity w.r.t frequency

../../_images/fig_cumu_mfp2721.png

(b) Spectral and cumulative thermal conductivity w.r.t MFP

Force constants

../../_images/fig_fc26506.png

(a) Force constants w.r.t atomic distance

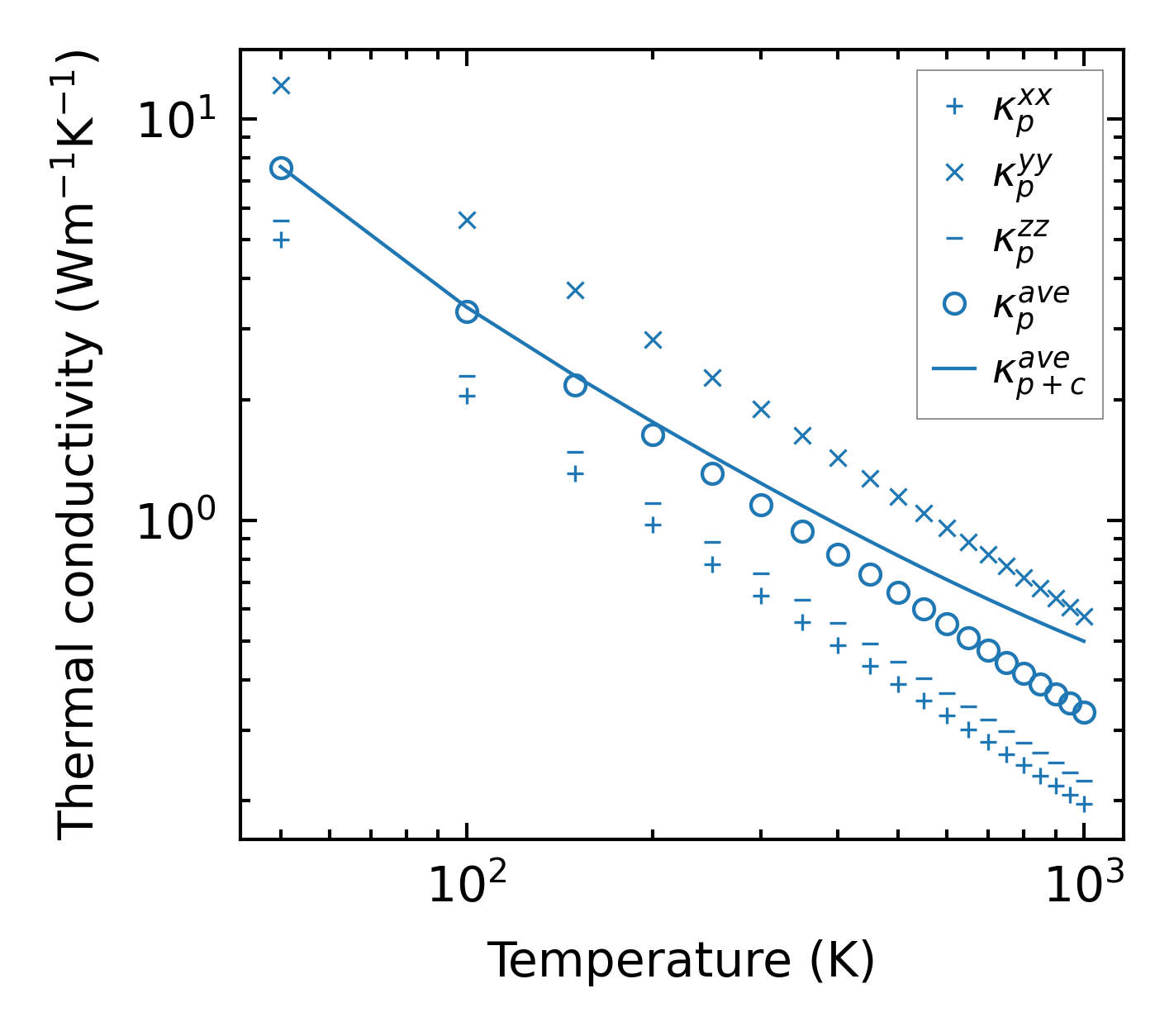
Summary

../../_images/fig_kappa5220.png

(a) Temperature-dependent lattice thermal conductivity

../../_images/fig_times12063.png

(b) Computation time