mp-573030/Cs2LiNbS4/anharm

Harmonic properties

../../_images/fig_bandos_pr6704.png

(a) Phonon dispersion with participation ratio and DOS

../../_images/fig_thermo6704.png

(b) Thermodynamic properties

Grüneisen parameters

../../_images/fig_gru_all2740.png

(a) Grüneisen parameters

../../_images/fig_gruneisen2740.png

(b) Phonon dispersion with Grüneisen parameters

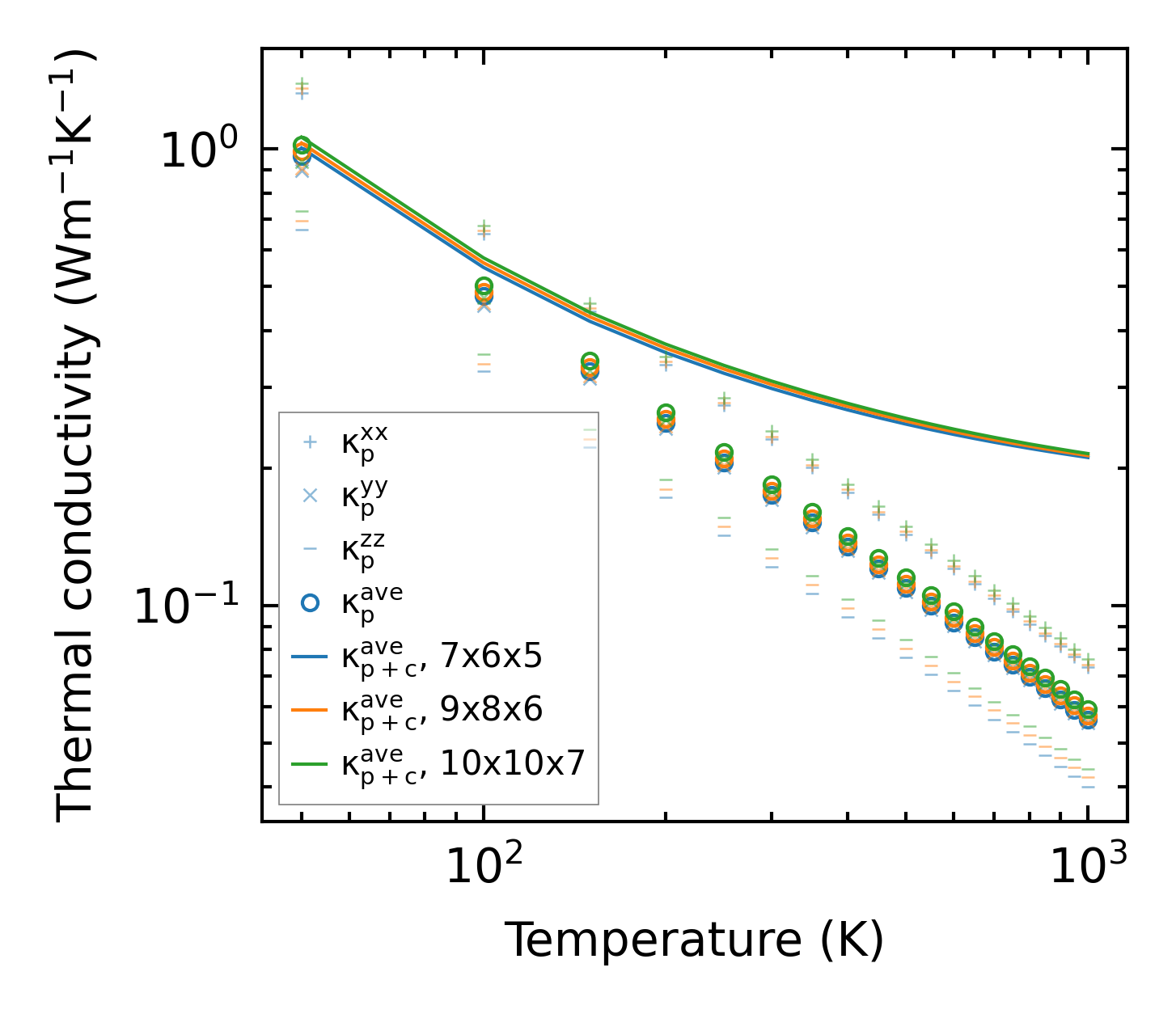
Thermal conductivity

3-phonon (LASSO) — q-mesh: 10x10x7, supercell: 2x2x2

../../_images/fig_kappa5207.png

(a) Temperature-dependent lattice thermal conductivity

../../_images/fig_kappa_vs_grain_size2781.png

(b) Peierls lattice thermal conductivity w.r.t grain size

Phonon lifetime and scattering rates

../../_images/fig_lifetime2716.png

(a) Phonon lifetime due to phonon-phonon scattering

../../_images/fig_scat_rates2715.png

(b) Phonon scattering rates

Cumulative and spectral thermal conductivity

../../_images/fig_cumu_frequency2716.png

(a) Spectral and cumulative thermal conductivity w.r.t frequency

../../_images/fig_cumu_mfp2715.png

(b) Spectral and cumulative thermal conductivity w.r.t MFP

Force constants

../../_images/fig_fc26494.png

(a) Force constants w.r.t atomic distance

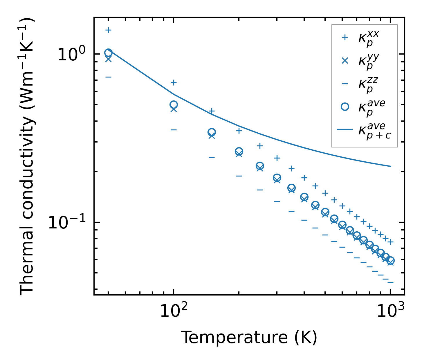
Summary

../../_images/fig_kappa5208.png

(a) Temperature-dependent lattice thermal conductivity

../../_images/fig_times12039.png

(b) Computation time