mp-550759-2/RbClO4/harm

Equation of state

../../_images/fig_bm4598.png

(a) Equation of state

Harmonic properties

../../_images/fig_bandos_pr9124.png

(a) Phonon dispersion with participation ratio and DOS

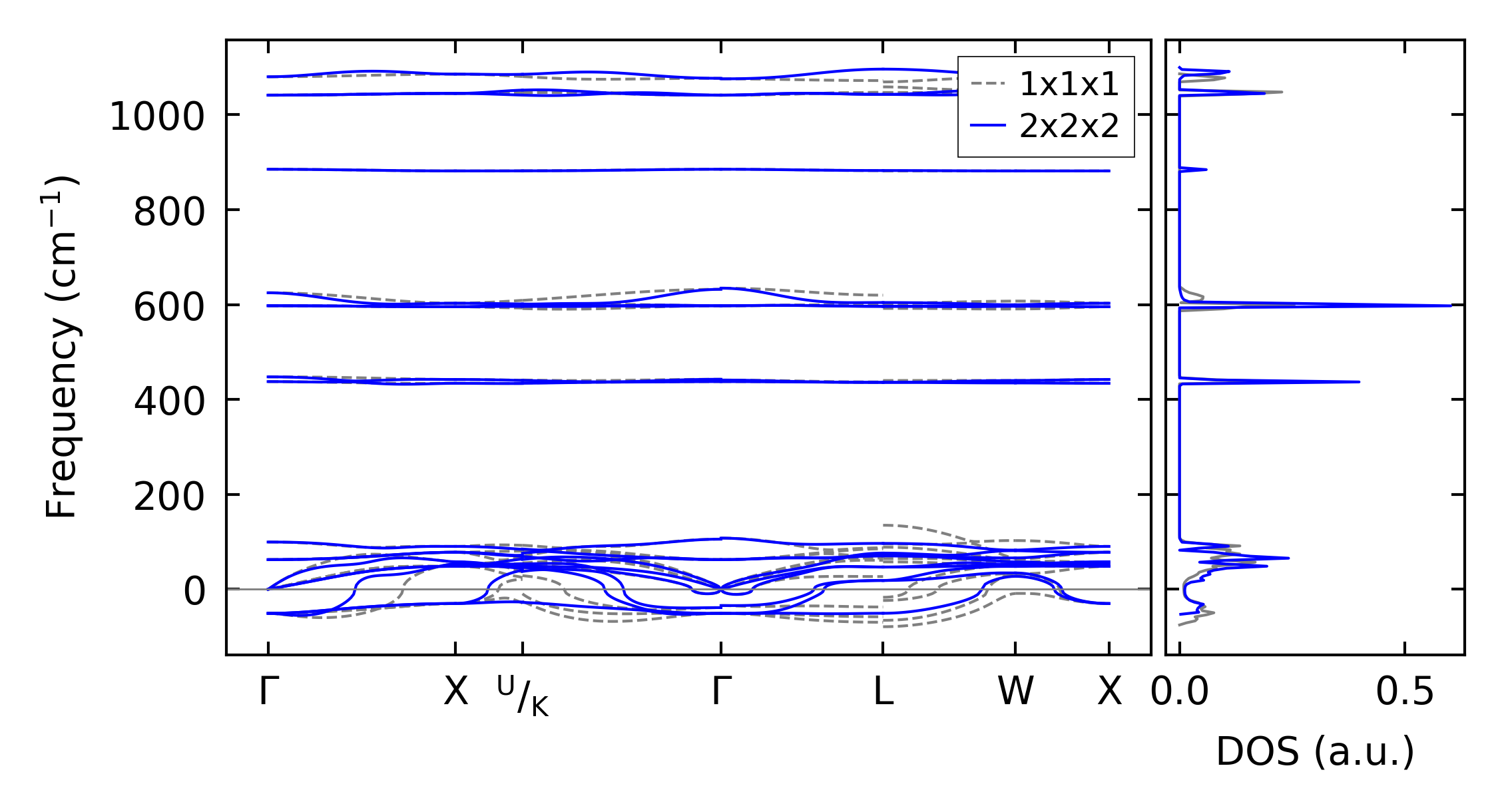
../../_images/fig_bandos12839.png

(b) Phonon dispersion and DOS

../../_images/fig_thermo9124.png

(c) Thermodynamic properties

Force constants

../../_images/fig_fc28886.png

(a) Force constants w.r.t atomic distance

Summary

../../_images/fig_times15945.png

(a) Computation time