mp-550314/Rb4CO4/harm

Harmonic properties

../../_images/fig_bandos_pr9108.png

(a) Phonon dispersion with participation ratio and DOS

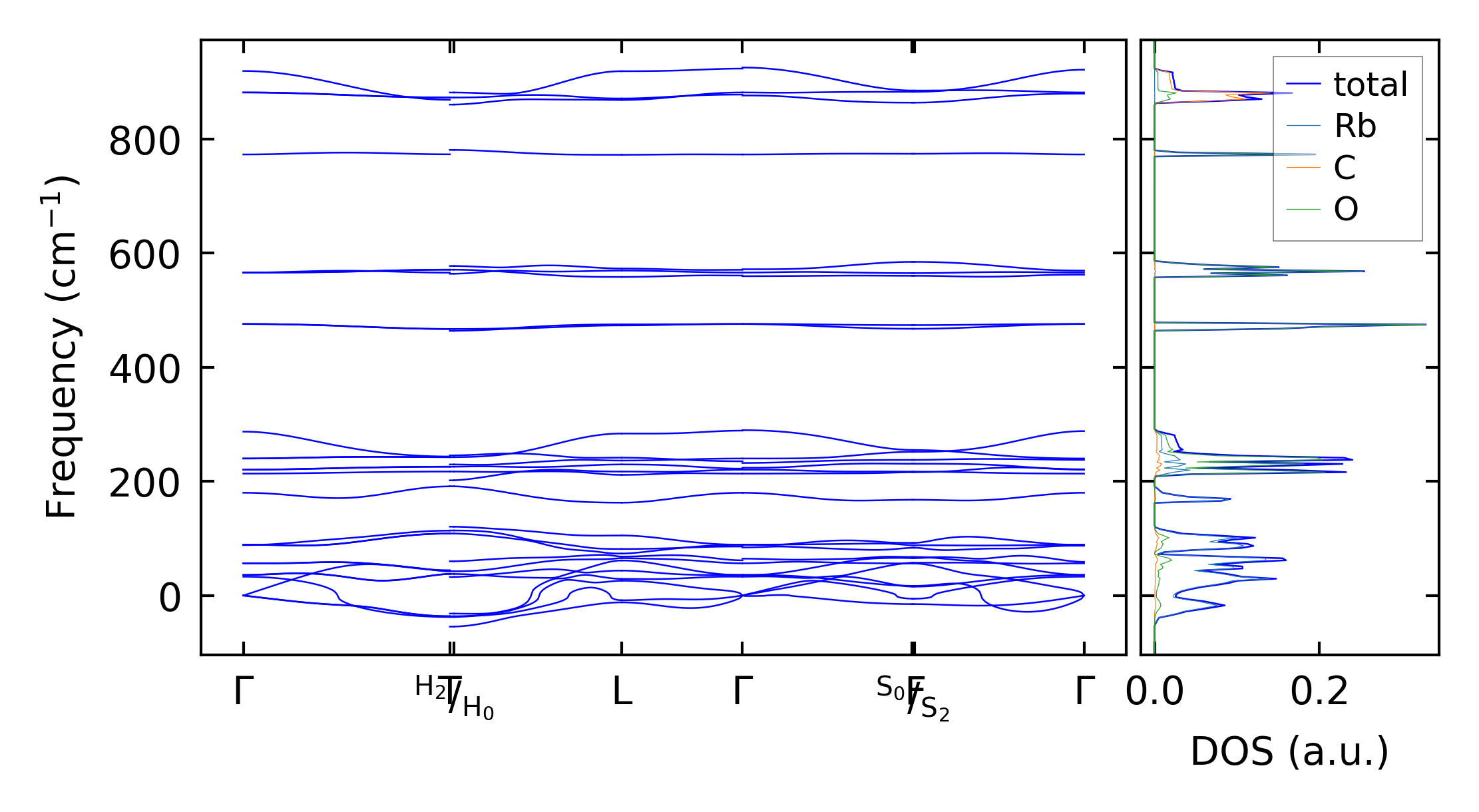
../../_images/fig_bandos12819.png

(b) Phonon dispersion and DOS

../../_images/fig_thermo9108.png

(c) Thermodynamic properties

Force constants

../../_images/fig_fc28870.png

(a) Force constants w.r.t atomic distance

Summary

../../_images/fig_times15923.png

(a) Computation time