mp-550070-2/NbBr2O/harm

Equation of state

../../_images/fig_bm4588.png

(a) Equation of state

Harmonic properties

../../_images/fig_bandos_pr9103.png

(a) Phonon dispersion with participation ratio and DOS

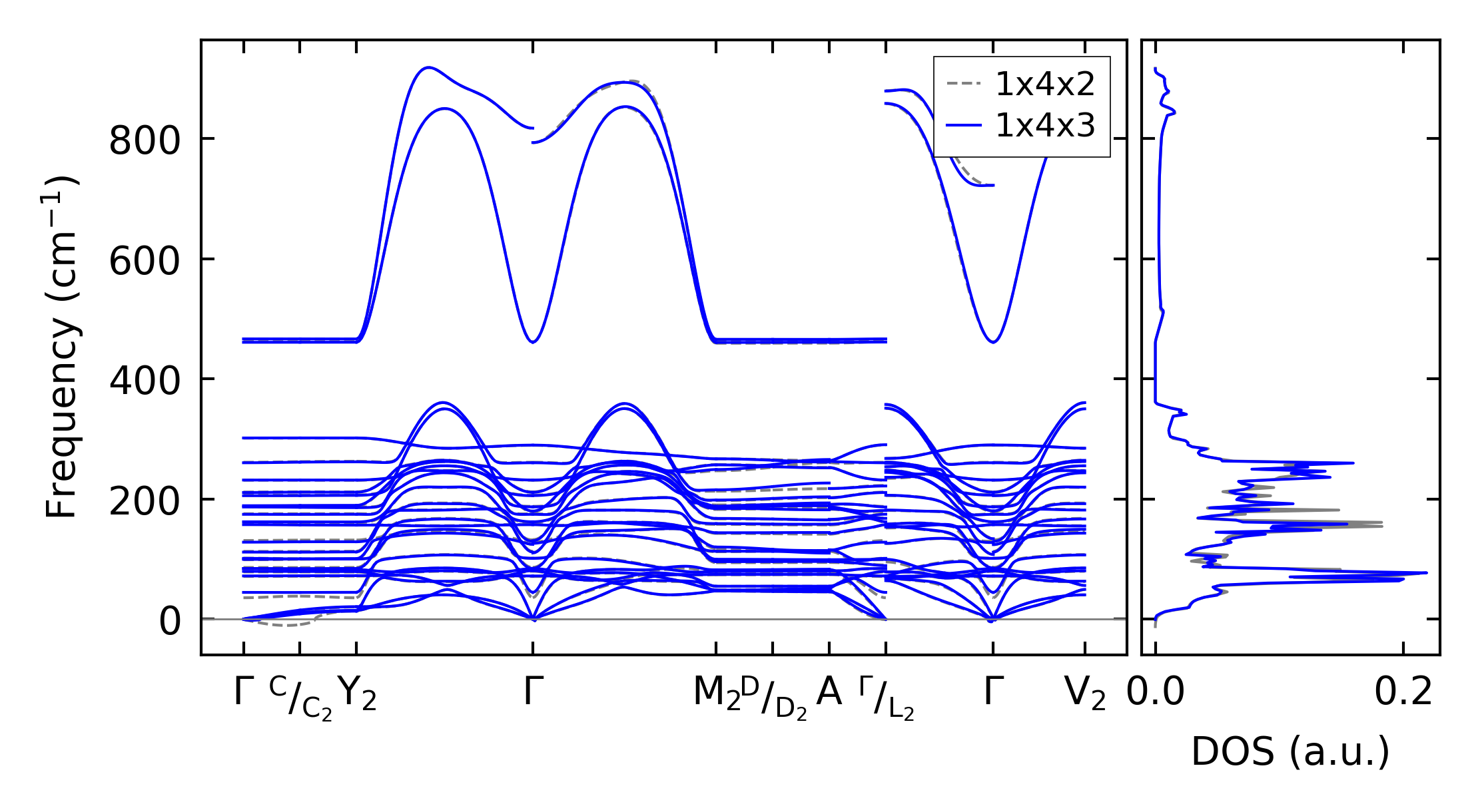
../../_images/fig_bandos12816.png

(b) Phonon dispersion and DOS

../../_images/fig_thermo9103.png

(c) Thermodynamic properties

Force constants

../../_images/fig_fc28865.png

(a) Force constants w.r.t atomic distance

Summary

../../_images/fig_times15918.png

(a) Computation time