mp-1181812/CaB2H8/anharm

Harmonic properties

../../_images/fig_bandos_pr16146.png

(a) Phonon dispersion with participation ratio and DOS

../../_images/fig_thermo16145.png

(b) Thermodynamic properties

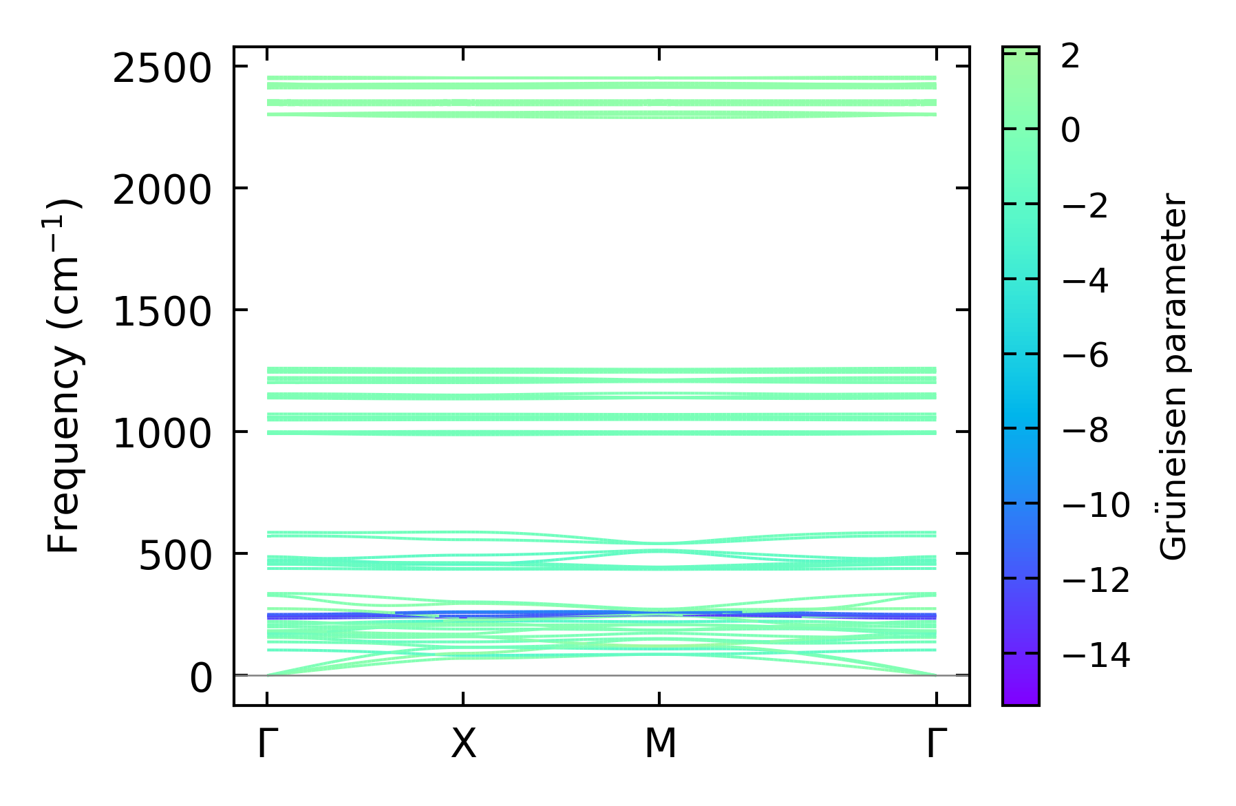
Grüneisen parameters

../../_images/fig_gru_all7001.png

(a) Grüneisen parameters

../../_images/fig_gruneisen7001.png

(b) Phonon dispersion with Grüneisen parameters

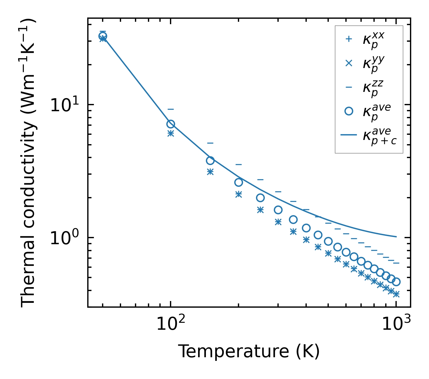
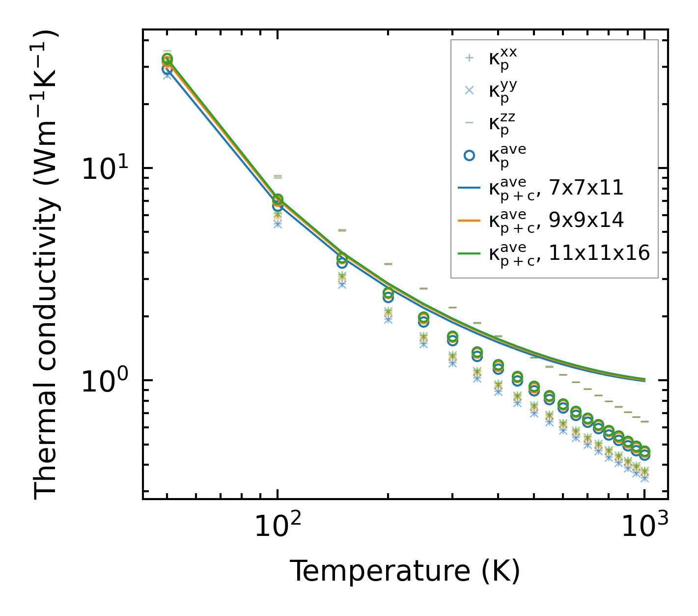
Thermal conductivity

3-phonon (LASSO) — q-mesh: 11x11x16, supercell: 1x1x2

../../_images/fig_kappa13182.png

(a) Temperature-dependent lattice thermal conductivity

../../_images/fig_kappa_vs_grain_size7083.png

(b) Peierls lattice thermal conductivity w.r.t grain size

Phonon lifetime and scattering rates

../../_images/fig_lifetime6935.png

(a) Phonon lifetime due to phonon-phonon scattering

../../_images/fig_scat_rates6934.png

(b) Phonon scattering rates

Cumulative and spectral thermal conductivity

../../_images/fig_cumu_frequency6935.png

(a) Spectral and cumulative thermal conductivity w.r.t frequency

../../_images/fig_cumu_mfp6934.png

(b) Spectral and cumulative thermal conductivity w.r.t MFP

Force constants

../../_images/fig_fc215741.png

(a) Force constants w.r.t atomic distance

Summary

../../_images/fig_kappa13183.png

(a) Temperature-dependent lattice thermal conductivity

../../_images/fig_times26554.png

(b) Computation time