mp-1181027/HgO2/anharm

Harmonic properties

../../_images/fig_bandos_pr16139.png

(a) Phonon dispersion with participation ratio and DOS

../../_images/fig_thermo16138.png

(b) Thermodynamic properties

Grüneisen parameters

../../_images/fig_gru_all6997.png

(a) Grüneisen parameters

../../_images/fig_gruneisen6997.png

(b) Phonon dispersion with Grüneisen parameters

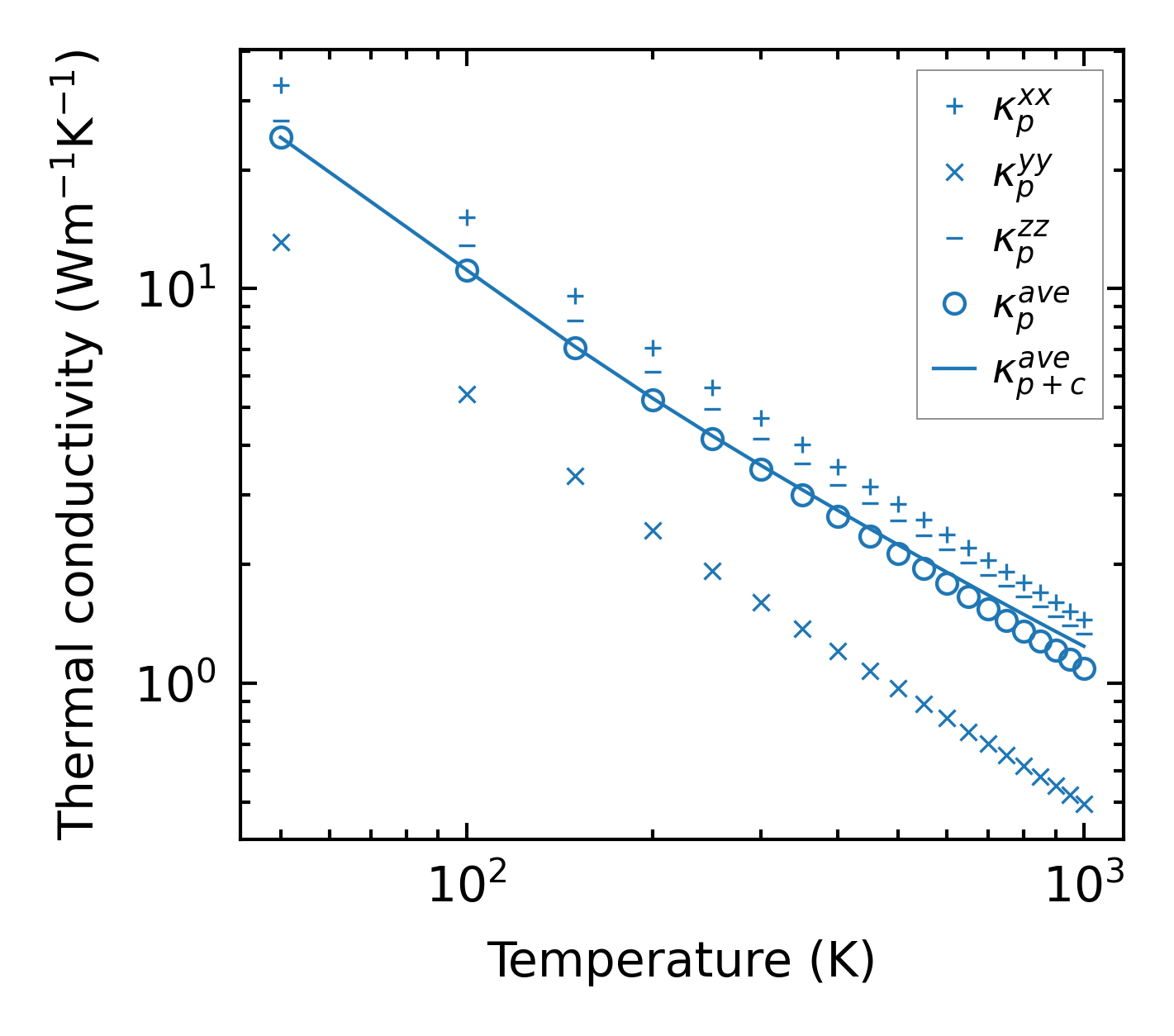
Thermal conductivity

3-phonon (LASSO) — q-mesh: 21x21x17, supercell: 2x3x3

../../_images/fig_kappa13174.png

(a) Temperature-dependent lattice thermal conductivity

../../_images/fig_kappa_vs_grain_size7079.png

(b) Peierls lattice thermal conductivity w.r.t grain size

Phonon lifetime and scattering rates

../../_images/fig_lifetime6931.png

(a) Phonon lifetime due to phonon-phonon scattering

../../_images/fig_scat_rates6930.png

(b) Phonon scattering rates

Cumulative and spectral thermal conductivity

../../_images/fig_cumu_frequency6931.png

(a) Spectral and cumulative thermal conductivity w.r.t frequency

../../_images/fig_cumu_mfp6930.png

(b) Spectral and cumulative thermal conductivity w.r.t MFP

Force constants

../../_images/fig_fc215734.png

(a) Force constants w.r.t atomic distance

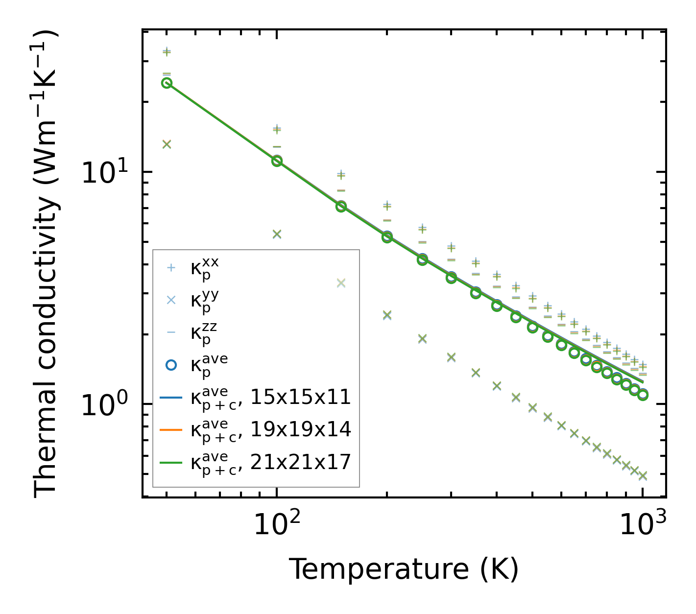
Summary

../../_images/fig_kappa13175.png

(a) Temperature-dependent lattice thermal conductivity

../../_images/fig_times26541.png

(b) Computation time