mp-1181198/H3CI/anharm

Harmonic properties

../../_images/fig_bandos_pr16142.png

(a) Phonon dispersion with participation ratio and DOS

../../_images/fig_thermo16141.png

(b) Thermodynamic properties

Grüneisen parameters

../../_images/fig_gru_all6998.png

(a) Grüneisen parameters

../../_images/fig_gruneisen6998.png

(b) Phonon dispersion with Grüneisen parameters

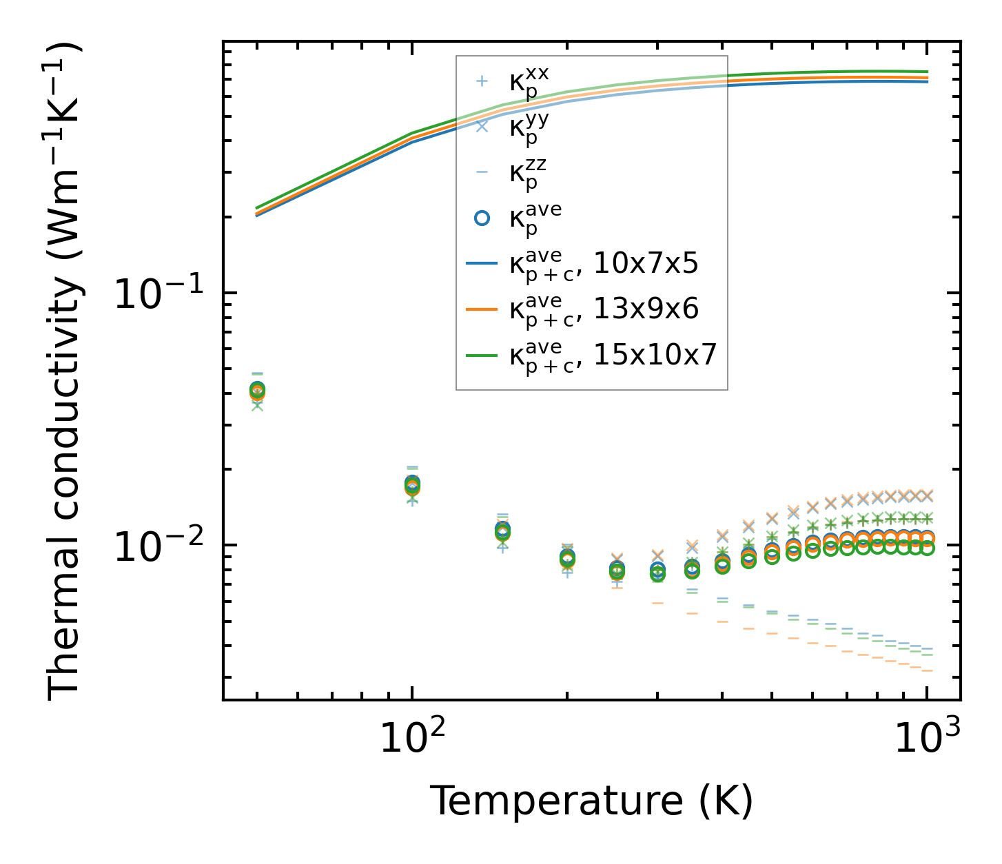
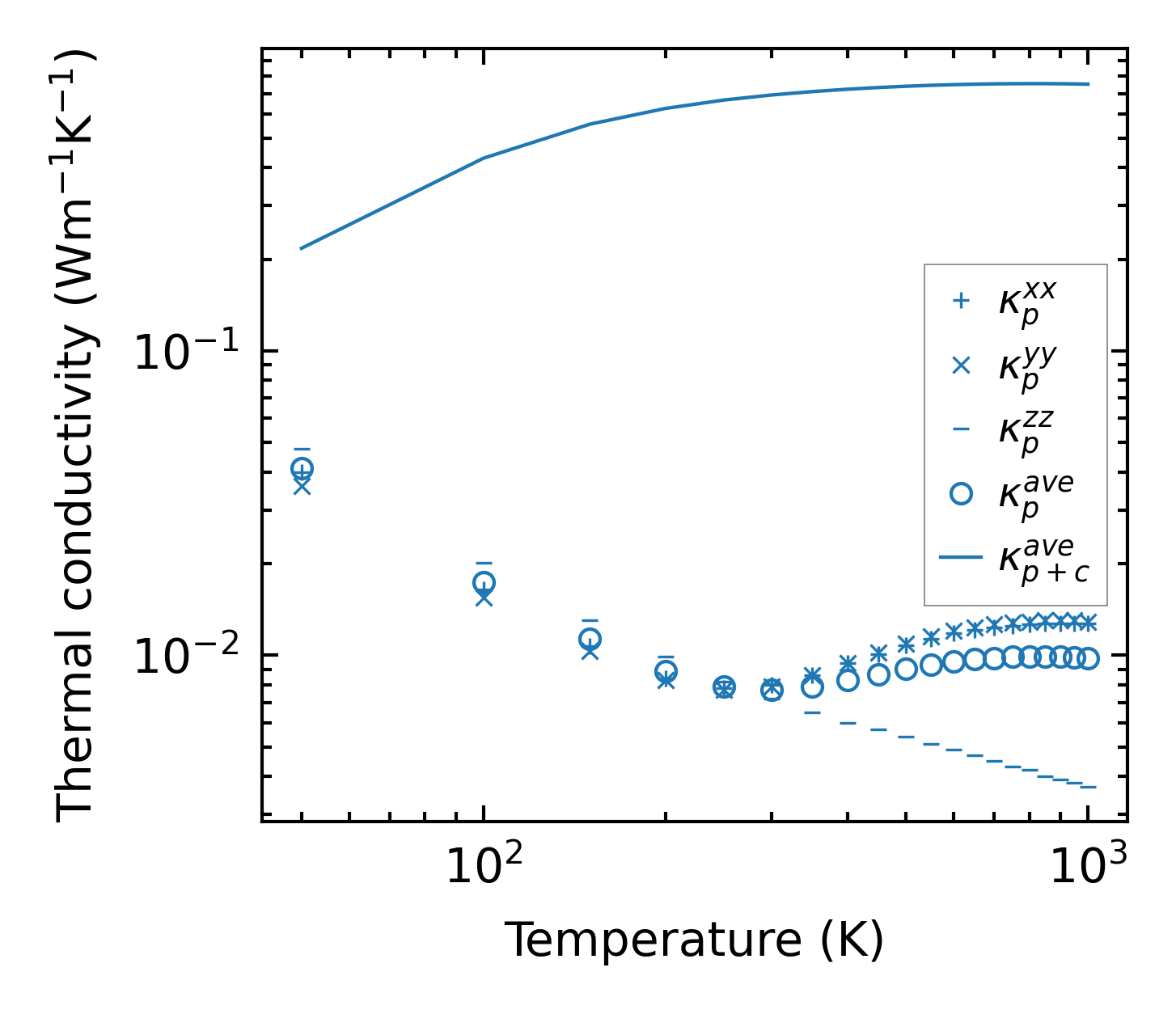
Thermal conductivity

3-phonon (LASSO) — q-mesh: 15x10x7, supercell: 3x2x1

../../_images/fig_kappa13176.png

(a) Temperature-dependent lattice thermal conductivity

../../_images/fig_kappa_vs_grain_size7080.png

(b) Peierls lattice thermal conductivity w.r.t grain size

Phonon lifetime and scattering rates

../../_images/fig_lifetime6932.png

(a) Phonon lifetime due to phonon-phonon scattering

../../_images/fig_scat_rates6931.png

(b) Phonon scattering rates

Cumulative and spectral thermal conductivity

../../_images/fig_cumu_frequency6932.png

(a) Spectral and cumulative thermal conductivity w.r.t frequency

../../_images/fig_cumu_mfp6931.png

(b) Spectral and cumulative thermal conductivity w.r.t MFP

Force constants

../../_images/fig_fc215737.png

(a) Force constants w.r.t atomic distance

Summary

../../_images/fig_kappa13177.png

(a) Temperature-dependent lattice thermal conductivity

../../_images/fig_times26545.png

(b) Computation time