mp-1181198-2/H3CI/anharm

Harmonic properties

../../_images/fig_bandos_pr16143.png

(a) Phonon dispersion with participation ratio and DOS

../../_images/fig_thermo16142.png

(b) Thermodynamic properties

Grüneisen parameters

../../_images/fig_gru_all6999.png

(a) Grüneisen parameters

../../_images/fig_gruneisen6999.png

(b) Phonon dispersion with Grüneisen parameters

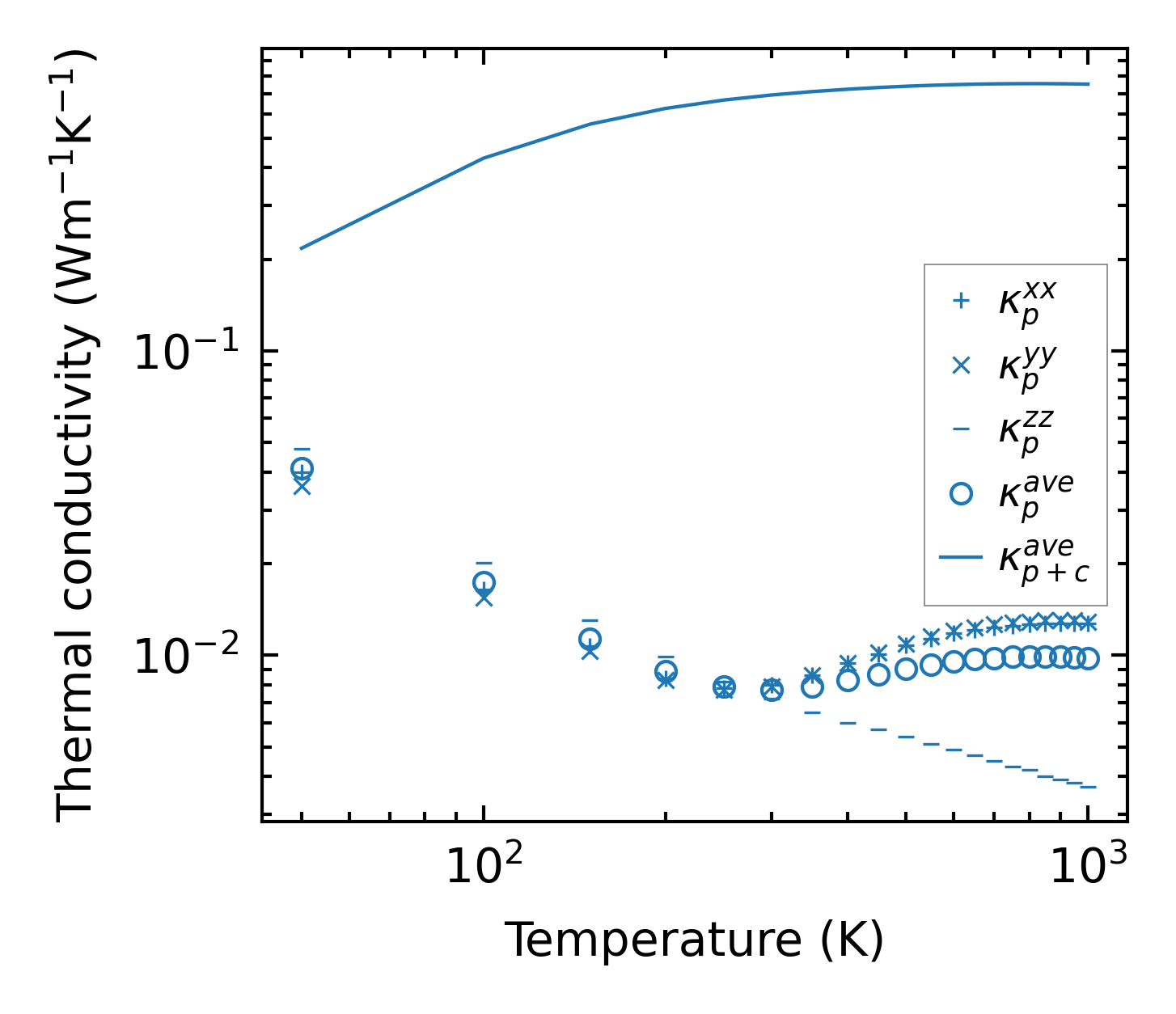
Thermal conductivity

3-phonon (LASSO) — q-mesh: 15x10x7, supercell: 3x2x1

../../_images/fig_kappa13178.png

(a) Temperature-dependent lattice thermal conductivity

../../_images/fig_kappa_vs_grain_size7081.png

(b) Peierls lattice thermal conductivity w.r.t grain size

Phonon lifetime and scattering rates

../../_images/fig_lifetime6933.png

(a) Phonon lifetime due to phonon-phonon scattering

../../_images/fig_scat_rates6932.png

(b) Phonon scattering rates

Cumulative and spectral thermal conductivity

../../_images/fig_cumu_frequency6933.png

(a) Spectral and cumulative thermal conductivity w.r.t frequency

../../_images/fig_cumu_mfp6932.png

(b) Spectral and cumulative thermal conductivity w.r.t MFP

Force constants

../../_images/fig_fc215738.png

(a) Force constants w.r.t atomic distance

Summary

../../_images/fig_kappa13179.png

(a) Temperature-dependent lattice thermal conductivity

../../_images/fig_times26546.png

(b) Computation time