mp-1181198-3/H3CI/anharm

Harmonic properties

../../_images/fig_bandos_pr16144.png

(a) Phonon dispersion with participation ratio and DOS

../../_images/fig_thermo16143.png

(b) Thermodynamic properties

Grüneisen parameters

../../_images/fig_gru_all7000.png

(a) Grüneisen parameters

../../_images/fig_gruneisen7000.png

(b) Phonon dispersion with Grüneisen parameters

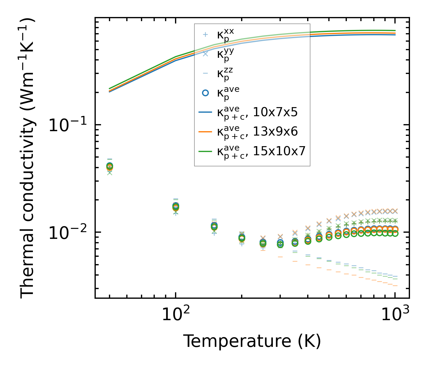
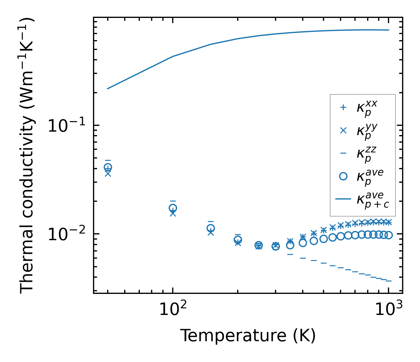
Thermal conductivity

3-phonon (LASSO) — q-mesh: 15x10x7, supercell: 3x2x1

../../_images/fig_kappa13180.png

(a) Temperature-dependent lattice thermal conductivity

../../_images/fig_kappa_vs_grain_size7082.png

(b) Peierls lattice thermal conductivity w.r.t grain size

Phonon lifetime and scattering rates

../../_images/fig_lifetime6934.png

(a) Phonon lifetime due to phonon-phonon scattering

../../_images/fig_scat_rates6933.png

(b) Phonon scattering rates

Cumulative and spectral thermal conductivity

../../_images/fig_cumu_frequency6934.png

(a) Spectral and cumulative thermal conductivity w.r.t frequency

../../_images/fig_cumu_mfp6933.png

(b) Spectral and cumulative thermal conductivity w.r.t MFP

Force constants

../../_images/fig_fc215739.png

(a) Force constants w.r.t atomic distance

Summary

../../_images/fig_kappa13181.png

(a) Temperature-dependent lattice thermal conductivity

../../_images/fig_times26547.png

(b) Computation time