mp-1106282/KBC3N3F/anharm

Harmonic properties

../../_images/fig_bandos_pr16266.png

(a) Phonon dispersion with participation ratio and DOS

../../_images/fig_thermo16265.png

(b) Thermodynamic properties

Grüneisen parameters

../../_images/fig_gru_all7079.png

(a) Grüneisen parameters

../../_images/fig_gruneisen7079.png

(b) Phonon dispersion with Grüneisen parameters

Thermal conductivity

3-phonon (LASSO) — q-mesh: 11x10x9, supercell: 2x2x2

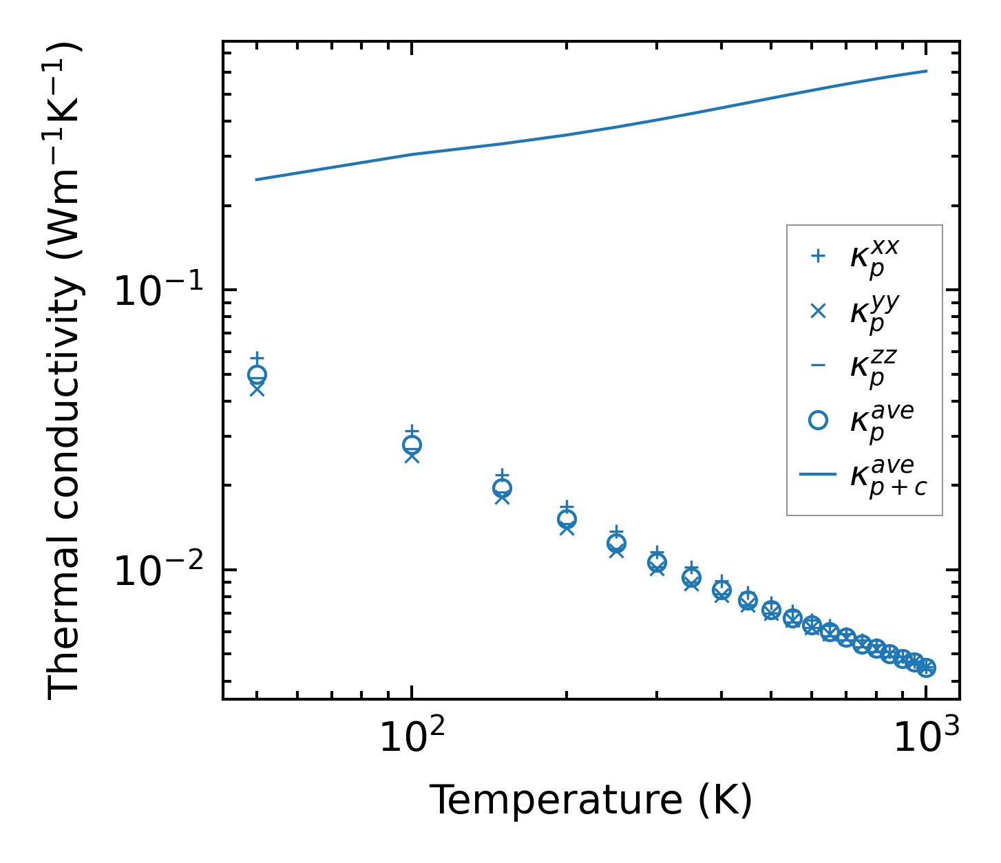
../../_images/fig_kappa13338.png

(a) Temperature-dependent lattice thermal conductivity

../../_images/fig_kappa_vs_grain_size7161.png

(b) Peierls lattice thermal conductivity w.r.t grain size

Phonon lifetime and scattering rates

../../_images/fig_lifetime7013.png

(a) Phonon lifetime due to phonon-phonon scattering

../../_images/fig_scat_rates7012.png

(b) Phonon scattering rates

Cumulative and spectral thermal conductivity

../../_images/fig_cumu_frequency7013.png

(a) Spectral and cumulative thermal conductivity w.r.t frequency

../../_images/fig_cumu_mfp7012.png

(b) Spectral and cumulative thermal conductivity w.r.t MFP

Force constants

../../_images/fig_fc215859.png

(a) Force constants w.r.t atomic distance

Summary

../../_images/fig_kappa13339.png

(a) Temperature-dependent lattice thermal conductivity

../../_images/fig_times26763.png

(b) Computation time