mp-1106127/Ba2DyInSe5/anharm

Harmonic properties

../../_images/fig_bandos_pr16257.png

(a) Phonon dispersion with participation ratio and DOS

../../_images/fig_thermo16256.png

(b) Thermodynamic properties

Grüneisen parameters

../../_images/fig_gru_all7073.png

(a) Grüneisen parameters

../../_images/fig_gruneisen7073.png

(b) Phonon dispersion with Grüneisen parameters

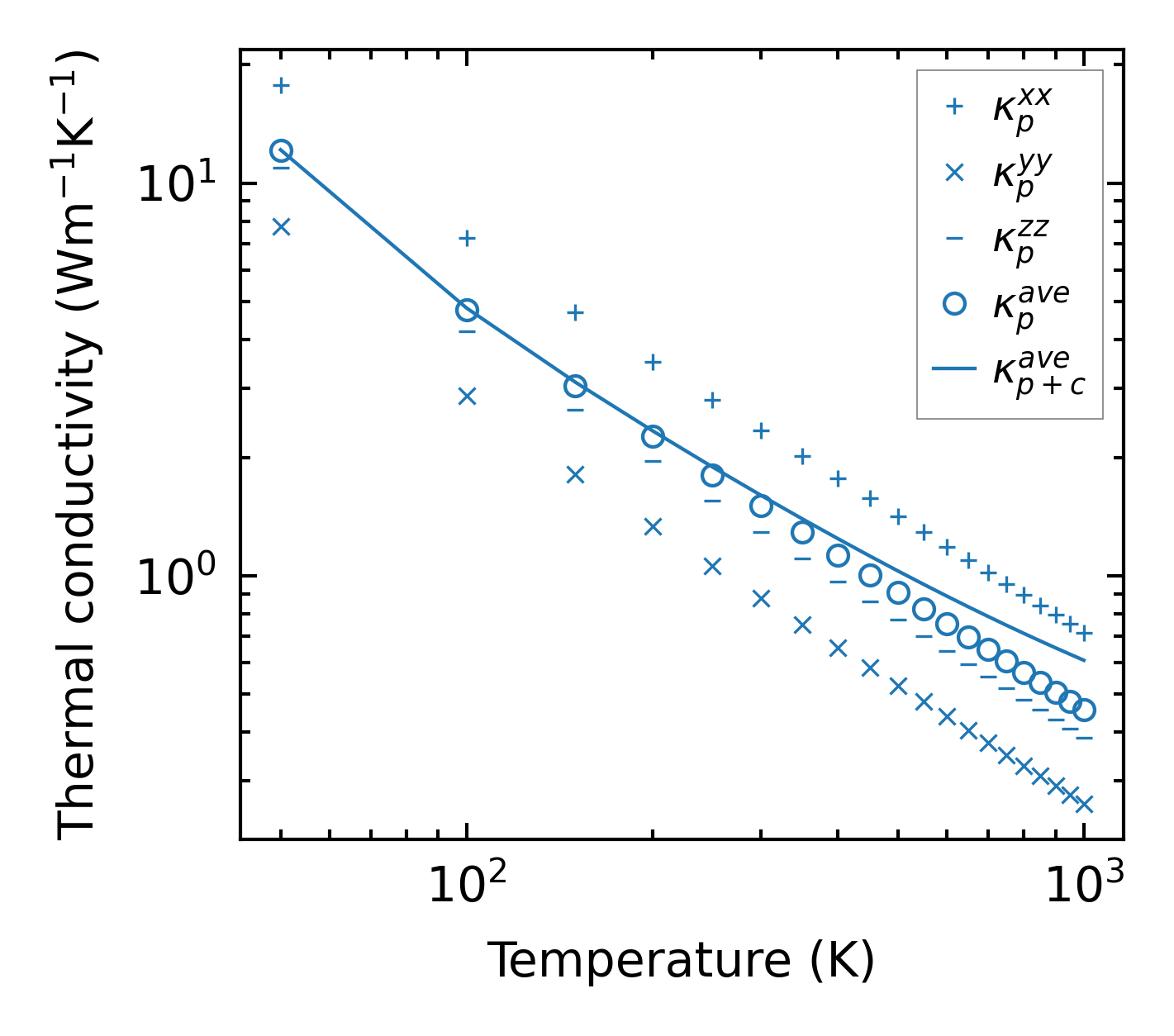
Thermal conductivity

3-phonon (LASSO) — q-mesh: 9x9x7, supercell: 4x1x1

../../_images/fig_kappa13326.png

(a) Temperature-dependent lattice thermal conductivity

../../_images/fig_kappa_vs_grain_size7155.png

(b) Peierls lattice thermal conductivity w.r.t grain size

Phonon lifetime and scattering rates

../../_images/fig_lifetime7007.png

(a) Phonon lifetime due to phonon-phonon scattering

../../_images/fig_scat_rates7006.png

(b) Phonon scattering rates

Cumulative and spectral thermal conductivity

../../_images/fig_cumu_frequency7007.png

(a) Spectral and cumulative thermal conductivity w.r.t frequency

../../_images/fig_cumu_mfp7006.png

(b) Spectral and cumulative thermal conductivity w.r.t MFP

Force constants

../../_images/fig_fc215850.png

(a) Force constants w.r.t atomic distance

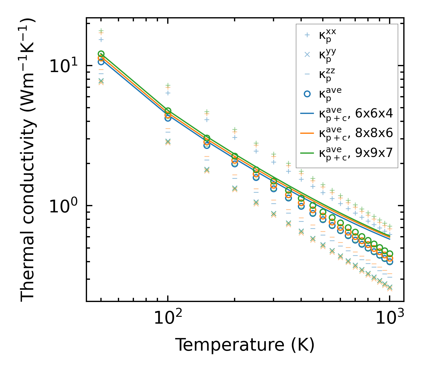
Summary

../../_images/fig_kappa13327.png

(a) Temperature-dependent lattice thermal conductivity

../../_images/fig_times26753.png

(b) Computation time