mp-1106227/Sr3Ga2P4/anharm

Harmonic properties

../../_images/fig_bandos_pr16261.png

(a) Phonon dispersion with participation ratio and DOS

../../_images/fig_thermo16260.png

(b) Thermodynamic properties

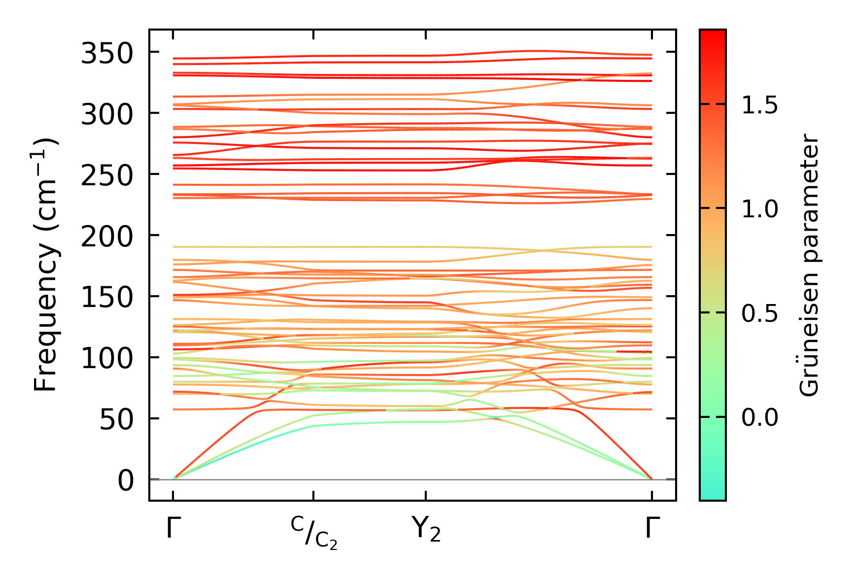
Grüneisen parameters

../../_images/fig_gru_all7076.png

(a) Grüneisen parameters

../../_images/fig_gruneisen7076.png

(b) Phonon dispersion with Grüneisen parameters

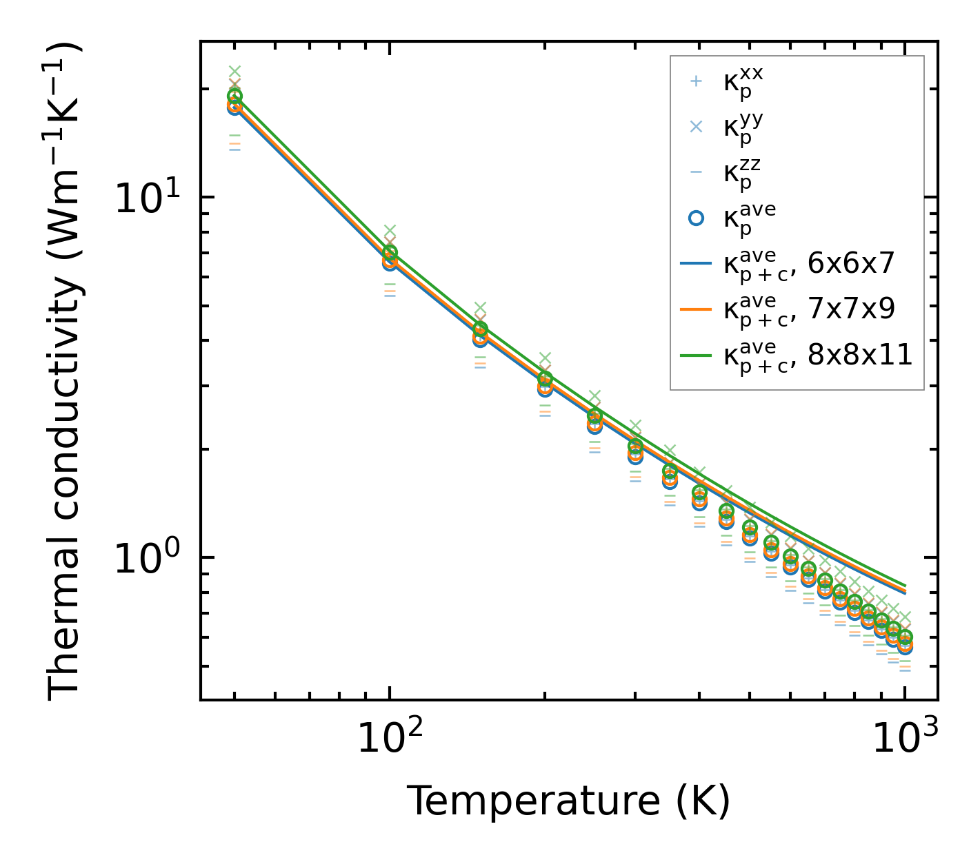
Thermal conductivity

3-phonon (LASSO) — q-mesh: 8x8x11, supercell: 1x2x2

../../_images/fig_kappa13332.png

(a) Temperature-dependent lattice thermal conductivity

../../_images/fig_kappa_vs_grain_size7158.png

(b) Peierls lattice thermal conductivity w.r.t grain size

Phonon lifetime and scattering rates

../../_images/fig_lifetime7010.png

(a) Phonon lifetime due to phonon-phonon scattering

../../_images/fig_scat_rates7009.png

(b) Phonon scattering rates

Cumulative and spectral thermal conductivity

../../_images/fig_cumu_frequency7010.png

(a) Spectral and cumulative thermal conductivity w.r.t frequency

../../_images/fig_cumu_mfp7009.png

(b) Spectral and cumulative thermal conductivity w.r.t MFP

Force constants

../../_images/fig_fc215854.png

(a) Force constants w.r.t atomic distance

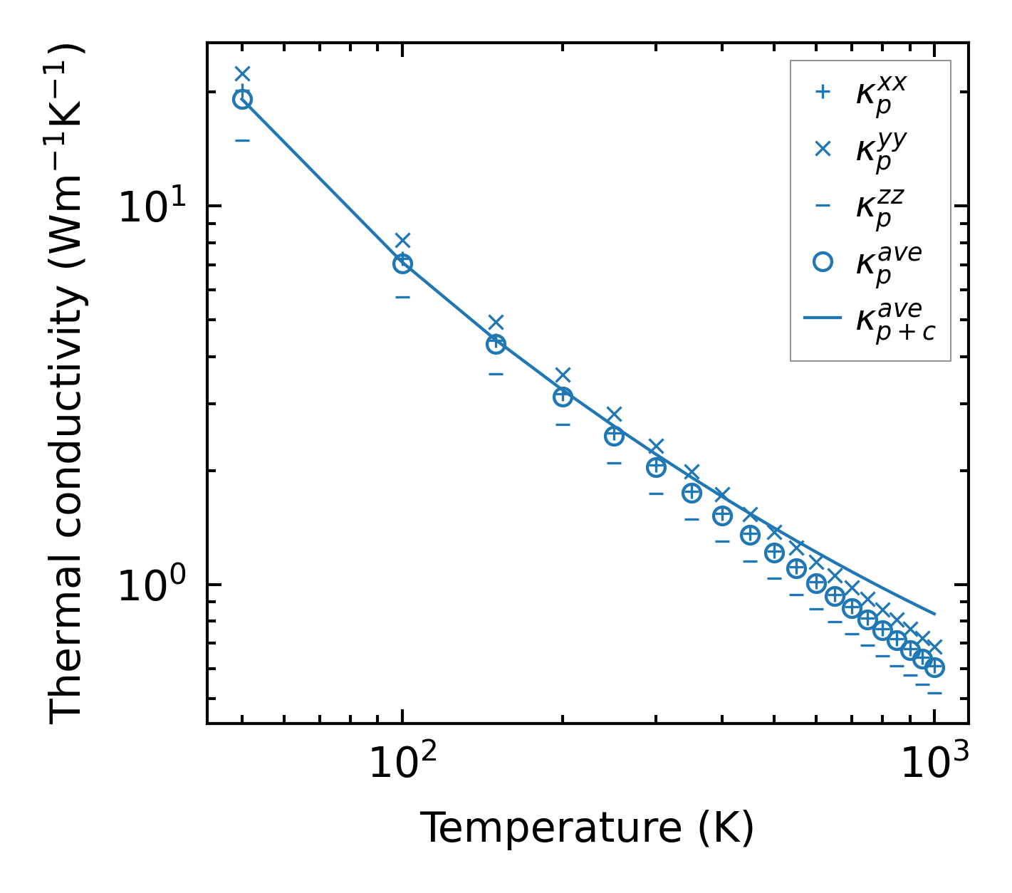
Summary

../../_images/fig_kappa13333.png

(a) Temperature-dependent lattice thermal conductivity

../../_images/fig_times26758.png

(b) Computation time