mp-1106051/Y3Cu3Sb4/anharm

Harmonic properties

../../_images/fig_bandos_pr16254.png

(a) Phonon dispersion with participation ratio and DOS

../../_images/fig_thermo16253.png

(b) Thermodynamic properties

Grüneisen parameters

../../_images/fig_gru_all7072.png

(a) Grüneisen parameters

../../_images/fig_gruneisen7072.png

(b) Phonon dispersion with Grüneisen parameters

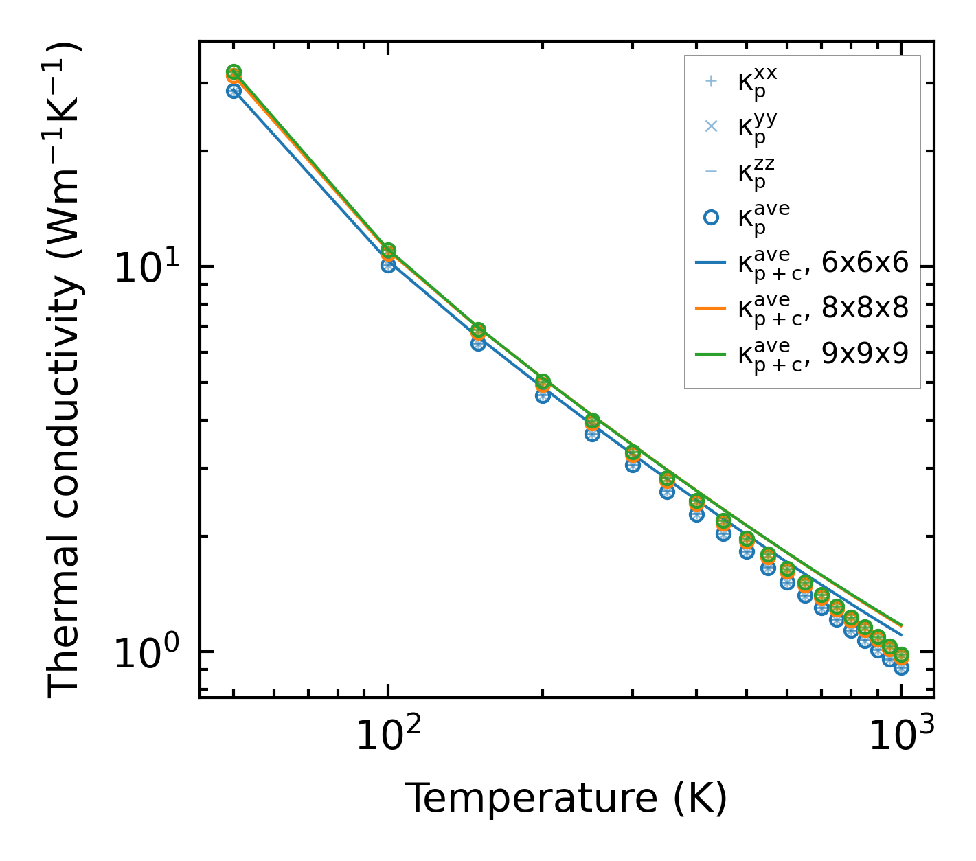
Thermal conductivity

3-phonon (LASSO) — q-mesh: 9x9x9, supercell: 1x1x1

../../_images/fig_kappa13324.png

(a) Temperature-dependent lattice thermal conductivity

../../_images/fig_kappa_vs_grain_size7154.png

(b) Peierls lattice thermal conductivity w.r.t grain size

Phonon lifetime and scattering rates

../../_images/fig_lifetime7006.png

(a) Phonon lifetime due to phonon-phonon scattering

../../_images/fig_scat_rates7005.png

(b) Phonon scattering rates

Cumulative and spectral thermal conductivity

../../_images/fig_cumu_frequency7006.png

(a) Spectral and cumulative thermal conductivity w.r.t frequency

../../_images/fig_cumu_mfp7005.png

(b) Spectral and cumulative thermal conductivity w.r.t MFP

Force constants

../../_images/fig_fc215847.png

(a) Force constants w.r.t atomic distance

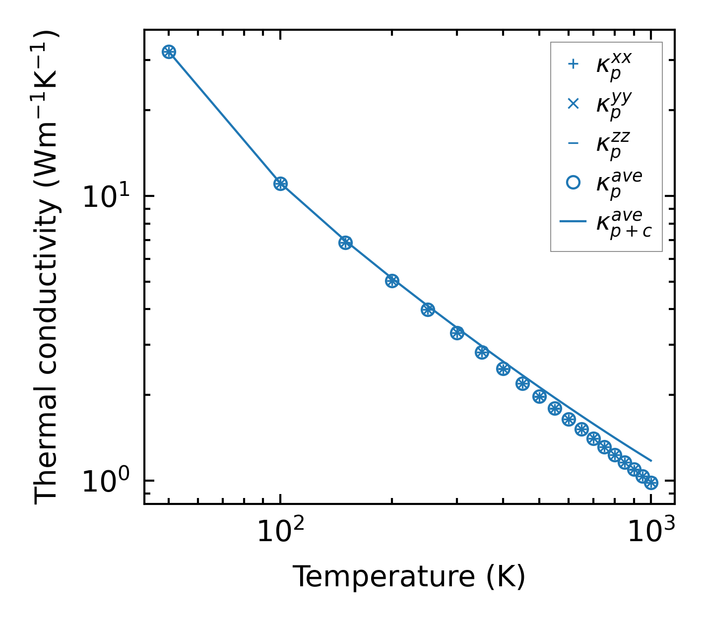
Summary

../../_images/fig_kappa13325.png

(a) Temperature-dependent lattice thermal conductivity

../../_images/fig_times26749.png

(b) Computation time