mp-1102952/DyAsSe/anharm

Harmonic properties

../../_images/fig_bandos_pr16557.png

(a) Phonon dispersion with participation ratio and DOS

../../_images/fig_thermo16556.png

(b) Thermodynamic properties

Grüneisen parameters

../../_images/fig_gru_all7184.png

(a) Grüneisen parameters

../../_images/fig_gruneisen7184.png

(b) Phonon dispersion with Grüneisen parameters

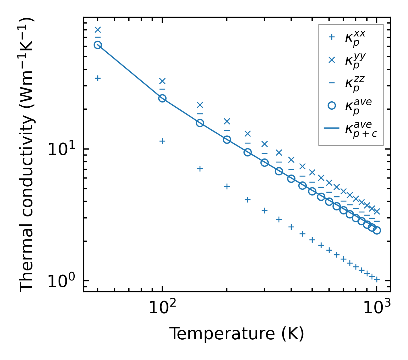
Thermal conductivity

3-phonon (LASSO) — q-mesh: 4x18x18, supercell: 1x4x3

../../_images/fig_kappa13546.png

(a) Temperature-dependent lattice thermal conductivity

../../_images/fig_kappa_vs_grain_size7270.png

(b) Peierls lattice thermal conductivity w.r.t grain size

Phonon lifetime and scattering rates

../../_images/fig_lifetime7118.png

(a) Phonon lifetime due to phonon-phonon scattering

../../_images/fig_scat_rates7117.png

(b) Phonon scattering rates

Cumulative and spectral thermal conductivity

../../_images/fig_cumu_frequency7118.png

(a) Spectral and cumulative thermal conductivity w.r.t frequency

../../_images/fig_cumu_mfp7117.png

(b) Spectral and cumulative thermal conductivity w.r.t MFP

Force constants

../../_images/fig_fc216132.png

(a) Force constants w.r.t atomic distance

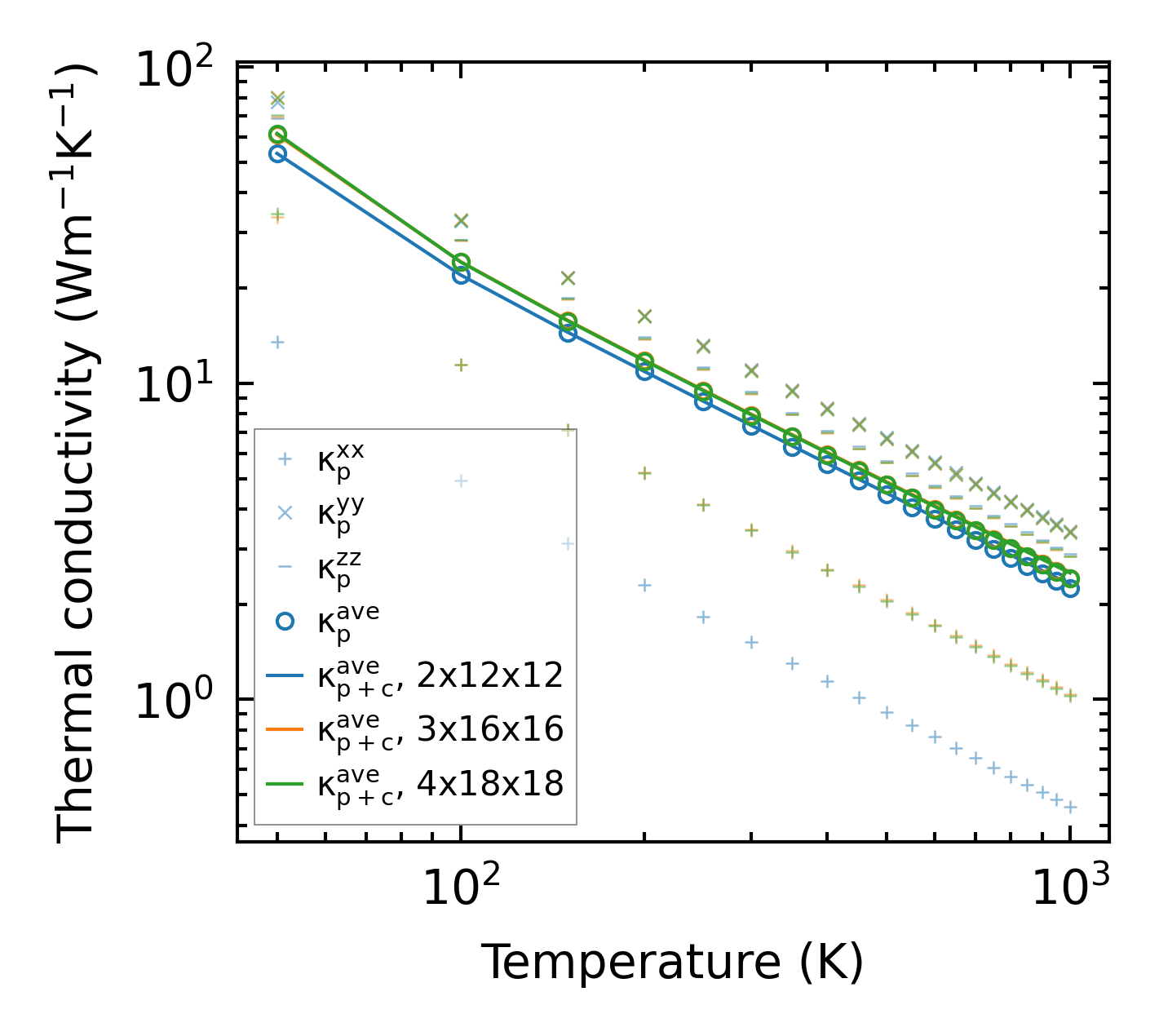
Summary

../../_images/fig_kappa13547.png

(a) Temperature-dependent lattice thermal conductivity

../../_images/fig_times27097.png

(b) Computation time