mp-1102654/SnH5CI3N2/harm

Harmonic properties

../../_images/fig_bandos_pr16548.png

(a) Phonon dispersion with participation ratio and DOS

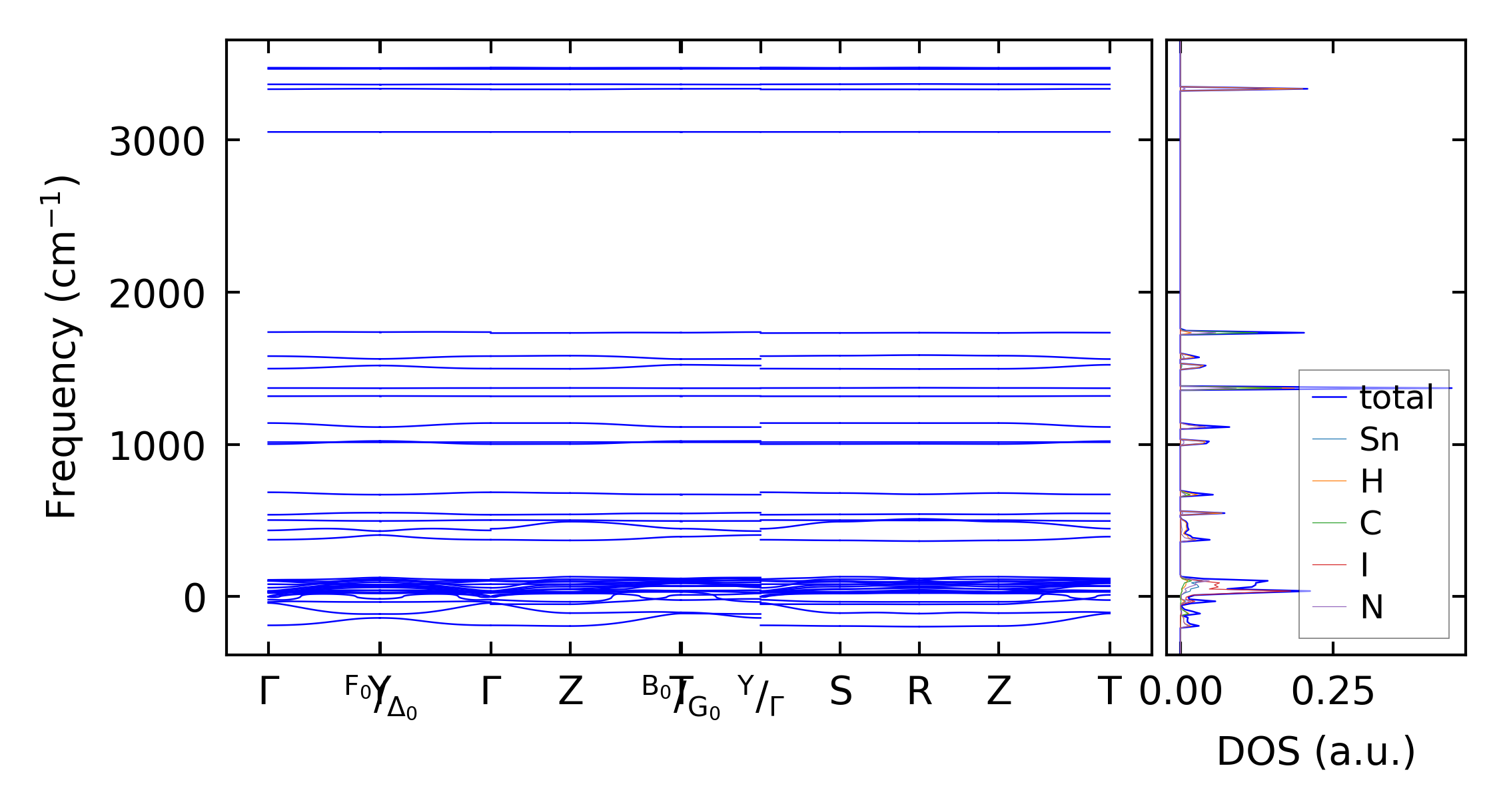
../../_images/fig_bandos20935.png

(b) Phonon dispersion and DOS

../../_images/fig_thermo16547.png

(c) Thermodynamic properties

Force constants

../../_images/fig_fc216123.png

(a) Force constants w.r.t atomic distance

Summary

../../_images/fig_times27086.png

(a) Computation time