mp-1102332/HgF2/anharm

Harmonic properties

../../_images/fig_bandos_pr16534.png

(a) Phonon dispersion with participation ratio and DOS

../../_images/fig_thermo16533.png

(b) Thermodynamic properties

Grüneisen parameters

../../_images/fig_gru_all7168.png

(a) Grüneisen parameters

../../_images/fig_gruneisen7168.png

(b) Phonon dispersion with Grüneisen parameters

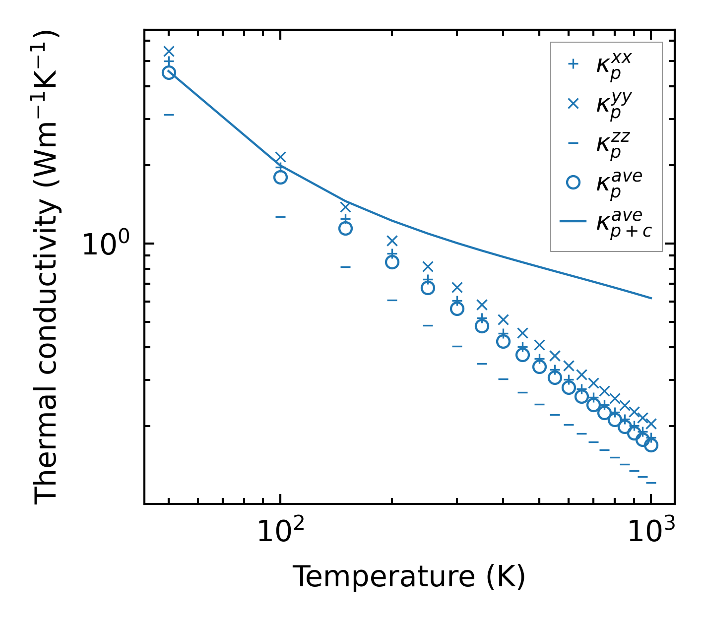
Thermal conductivity

3-phonon (LASSO) — q-mesh: 12x19x10, supercell: 2x3x2

../../_images/fig_kappa13516.png

(a) Temperature-dependent lattice thermal conductivity

../../_images/fig_kappa_vs_grain_size7254.png

(b) Peierls lattice thermal conductivity w.r.t grain size

Phonon lifetime and scattering rates

../../_images/fig_lifetime7102.png

(a) Phonon lifetime due to phonon-phonon scattering

../../_images/fig_scat_rates7101.png

(b) Phonon scattering rates

Cumulative and spectral thermal conductivity

../../_images/fig_cumu_frequency7102.png

(a) Spectral and cumulative thermal conductivity w.r.t frequency

../../_images/fig_cumu_mfp7101.png

(b) Spectral and cumulative thermal conductivity w.r.t MFP

Force constants

../../_images/fig_fc216109.png

(a) Force constants w.r.t atomic distance

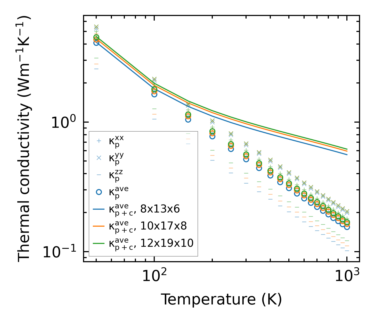
Summary

../../_images/fig_kappa13517.png

(a) Temperature-dependent lattice thermal conductivity

../../_images/fig_times27066.png

(b) Computation time