mp-1025456/CaZrF6/harm

Harmonic properties

../../_images/fig_bandos_pr17165.png

(a) Phonon dispersion with participation ratio and DOS

../../_images/fig_thermo17164.png

(b) Thermodynamic properties

Grüneisen parameters

../../_images/fig_gru_all7512.png

(a) Grüneisen parameters

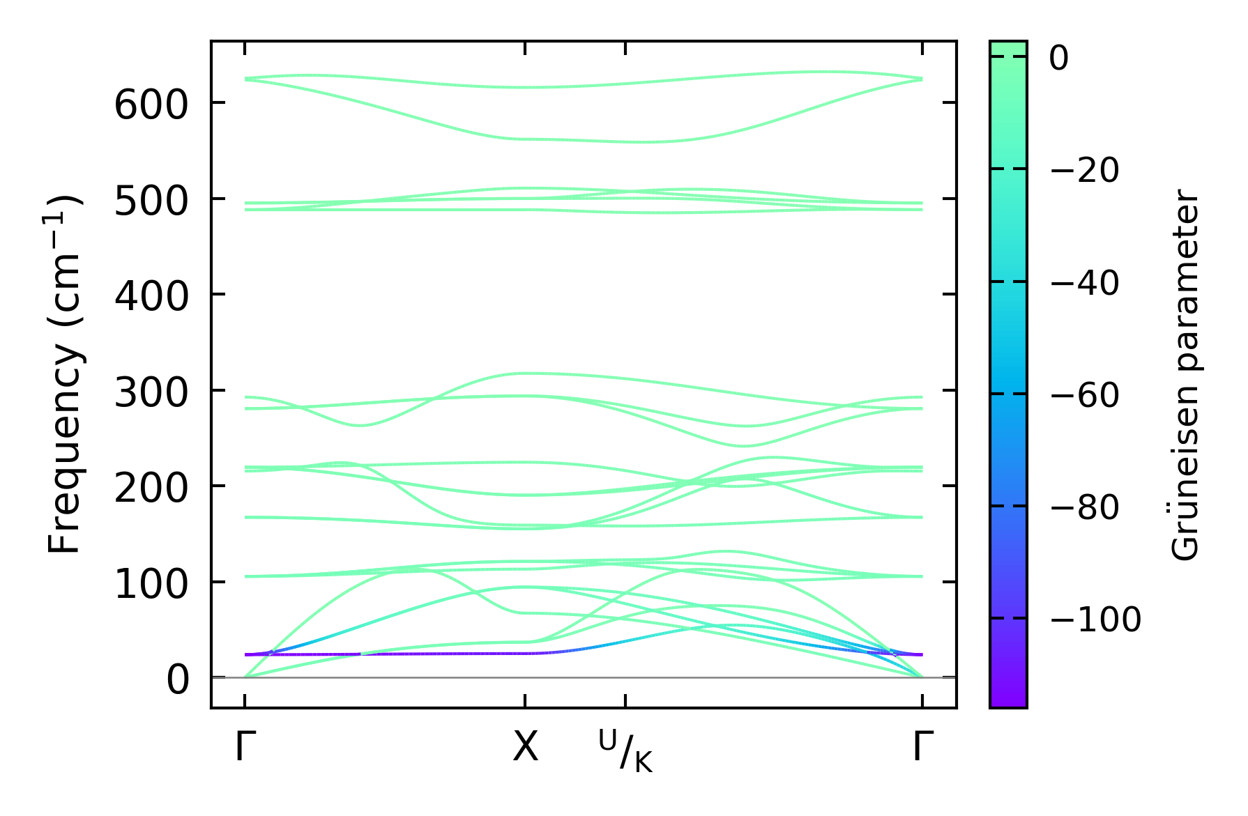
../../_images/fig_gruneisen7512.png

(b) Phonon dispersion with Grüneisen parameters

Force constants

../../_images/fig_fc3459.png

(a) Force constants w.r.t atomic distance

Summary

../../_images/fig_times27995.png

(a) Computation time