mp-1025377/CdAg2I4/anharm

Equation of state

../../_images/fig_bm7818.png

(a) Equation of state

Harmonic properties

../../_images/fig_bandos_pr17160.png

(a) Phonon dispersion with participation ratio and DOS

../../_images/fig_bandos21543.png

(b) Phonon dispersion and DOS

../../_images/fig_thermo17159.png

(c) Thermodynamic properties

Grüneisen parameters

../../_images/fig_gru_all7510.png

(a) Grüneisen parameters

../../_images/fig_gruneisen7510.png

(b) Phonon dispersion with Grüneisen parameters

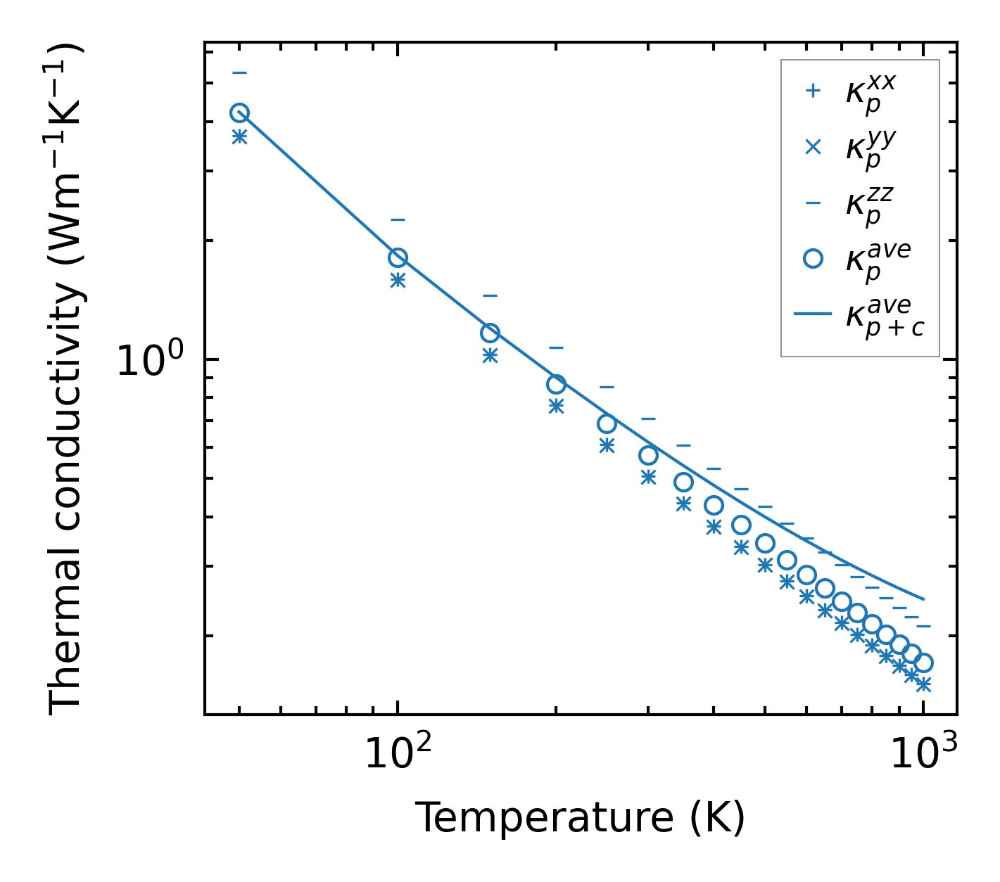
Thermal conductivity

3-phonon, supercell 3x3x2 — q-mesh: 11x11x11, supercell: 3x3x2

../../_images/fig_kappa14170.png

(a) Temperature-dependent lattice thermal conductivity

../../_images/fig_kappa_vs_grain_size7600.png

(b) Peierls lattice thermal conductivity w.r.t grain size

Phonon lifetime and scattering rates

../../_images/fig_lifetime7443.png

(a) Phonon lifetime due to phonon-phonon scattering

../../_images/fig_scat_rates7442.png

(b) Phonon scattering rates

Cumulative and spectral thermal conductivity

../../_images/fig_cumu_frequency7443.png

(a) Spectral and cumulative thermal conductivity w.r.t frequency

../../_images/fig_cumu_mfp7442.png

(b) Spectral and cumulative thermal conductivity w.r.t MFP

Force constants

../../_images/fig_fc3458.png

(a) Force constants w.r.t atomic distance

Summary

../../_images/fig_times27989.png

(a) Computation time