mp-1008858/NdBiPd/anharm

Harmonic properties

../../_images/fig_bandos_pr289.png

(a) Phonon dispersion with participation ratio and DOS

../../_images/fig_thermo289.png

(b) Thermodynamic properties

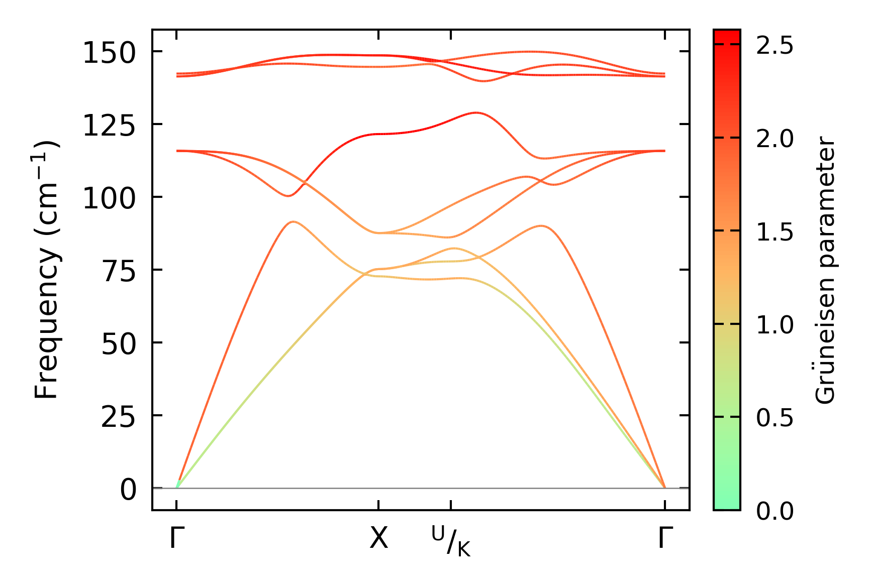
Grüneisen parameters

../../_images/fig_gru_all199.png

(a) Grüneisen parameters

../../_images/fig_gruneisen199.png

(b) Phonon dispersion with Grüneisen parameters

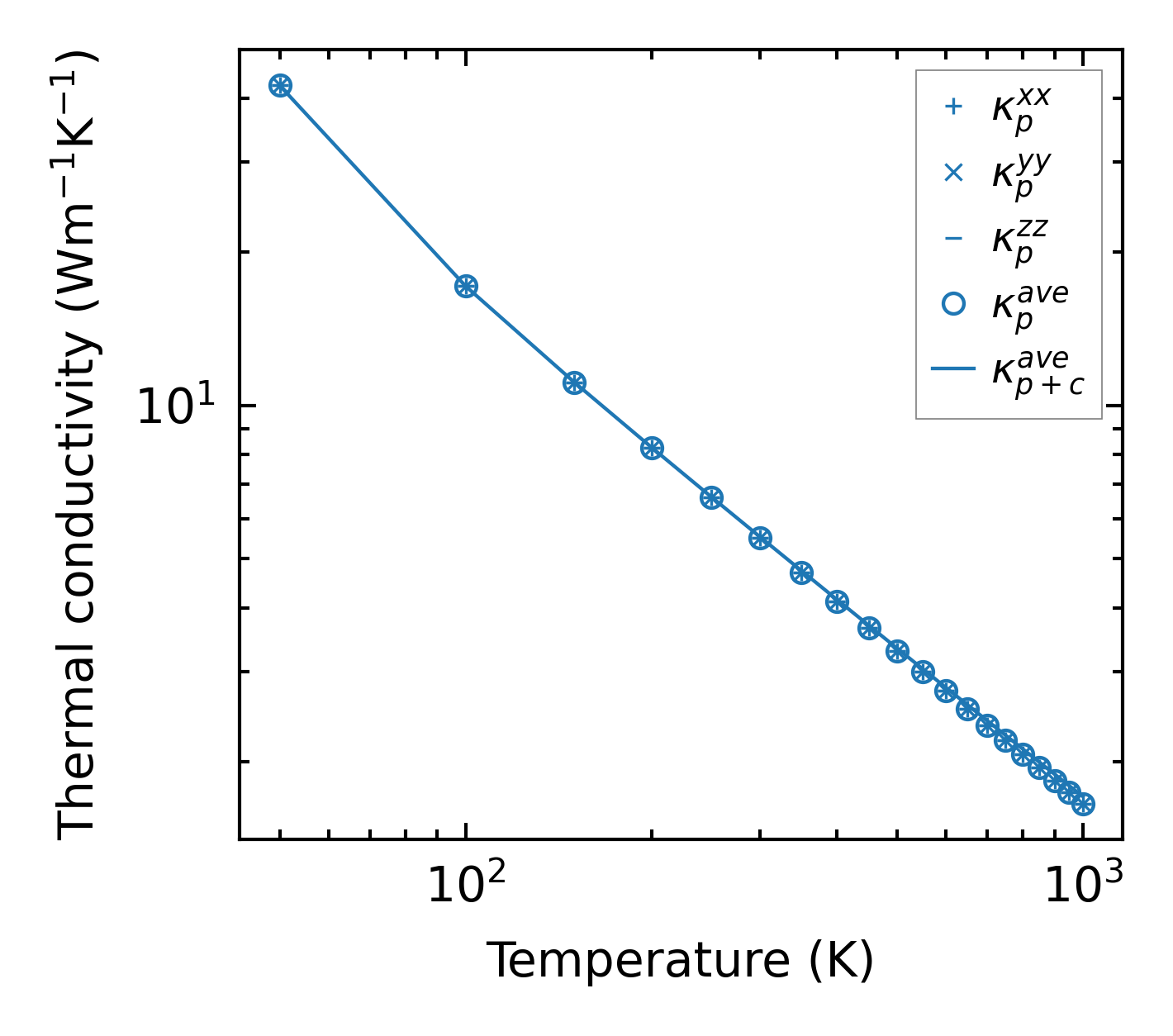
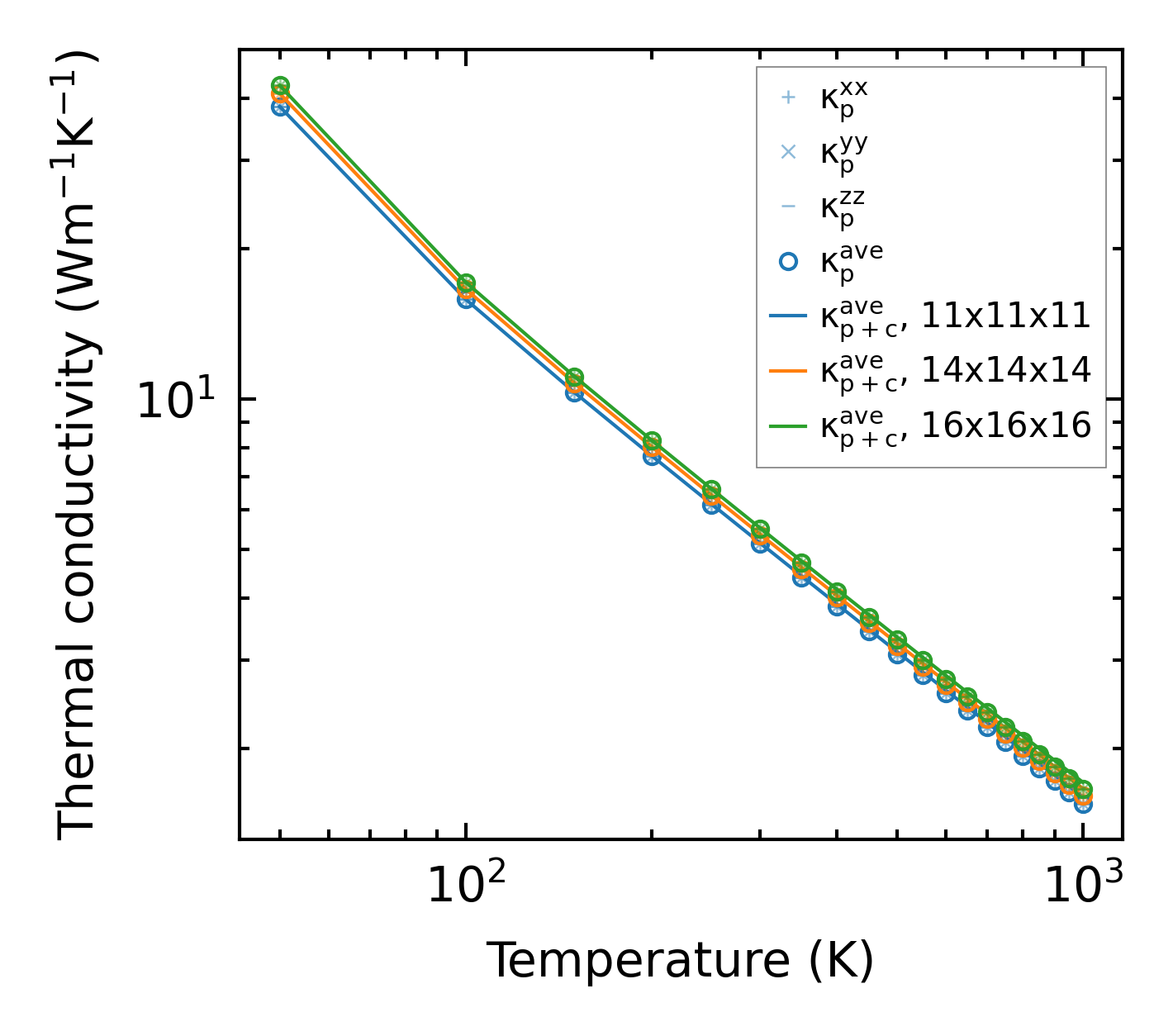
Thermal conductivity

3-phonon — q-mesh: 16x16x16, supercell: 2x2x2

../../_images/fig_kappa390.png

(a) Temperature-dependent lattice thermal conductivity

../../_images/fig_kappa_vs_grain_size202.png

(b) Peierls lattice thermal conductivity w.r.t grain size

Phonon lifetime and scattering rates

../../_images/fig_lifetime198.png

(a) Phonon lifetime due to phonon-phonon scattering

../../_images/fig_scat_rates197.png

(b) Phonon scattering rates

Cumulative and spectral thermal conductivity

../../_images/fig_cumu_frequency198.png

(a) Spectral and cumulative thermal conductivity w.r.t frequency

../../_images/fig_cumu_mfp198.png

(b) Spectral and cumulative thermal conductivity w.r.t MFP

Force constants

../../_images/fig_fc339.png

(a) Force constants w.r.t atomic distance

Summary

../../_images/fig_kappa391.png

(a) Temperature-dependent lattice thermal conductivity

../../_images/fig_times467.png

(b) Computation time