mp-1008506/BaGaSiH/anharm

Harmonic properties

../../_images/fig_bandos_pr283.png

(a) Phonon dispersion with participation ratio and DOS

../../_images/fig_thermo283.png

(b) Thermodynamic properties

Grüneisen parameters

../../_images/fig_gru_all193.png

(a) Grüneisen parameters

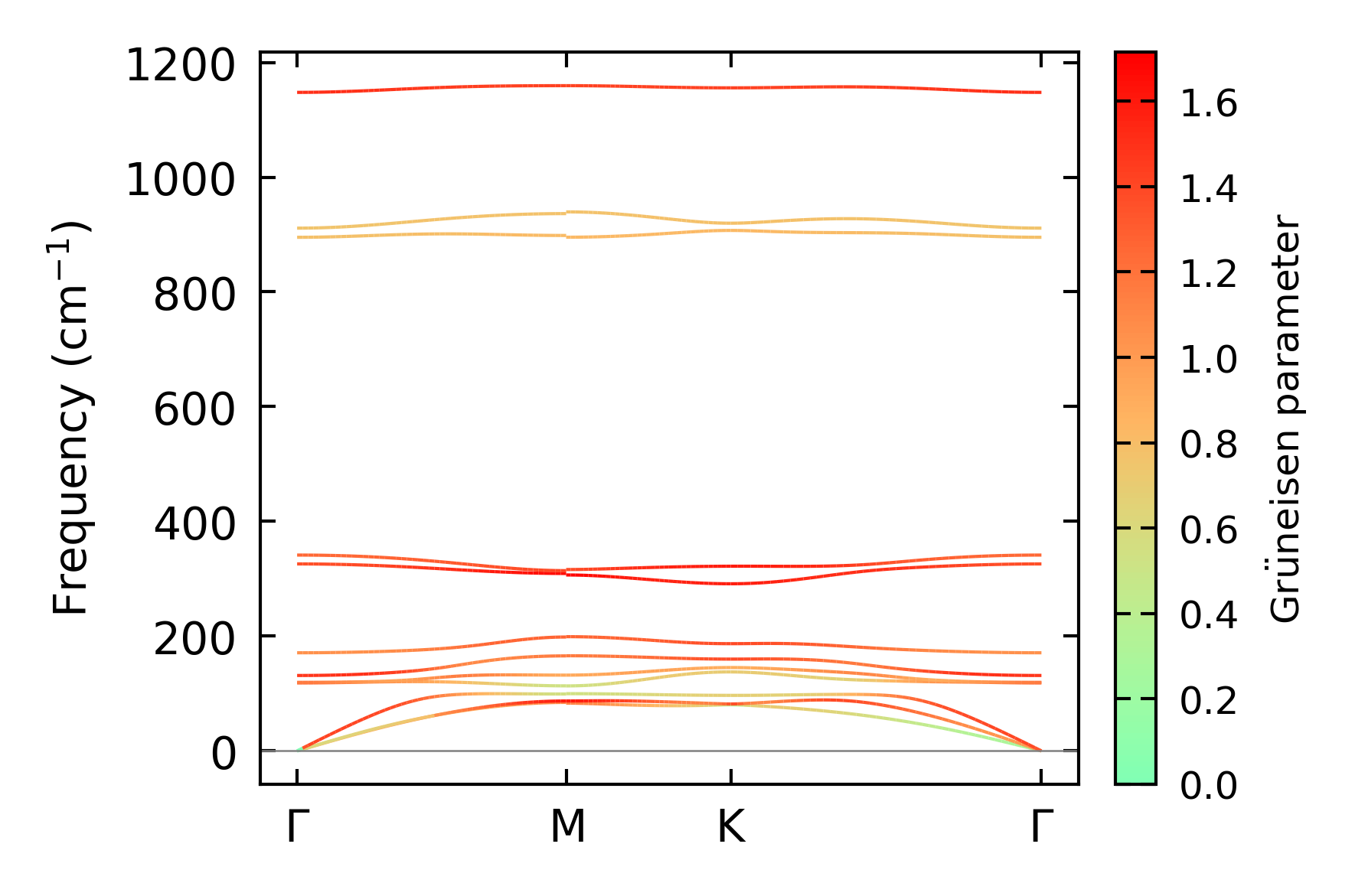
../../_images/fig_gruneisen193.png

(b) Phonon dispersion with Grüneisen parameters

Thermal conductivity

3-phonon (LASSO) — q-mesh: 17x17x14, supercell: 3x3x3

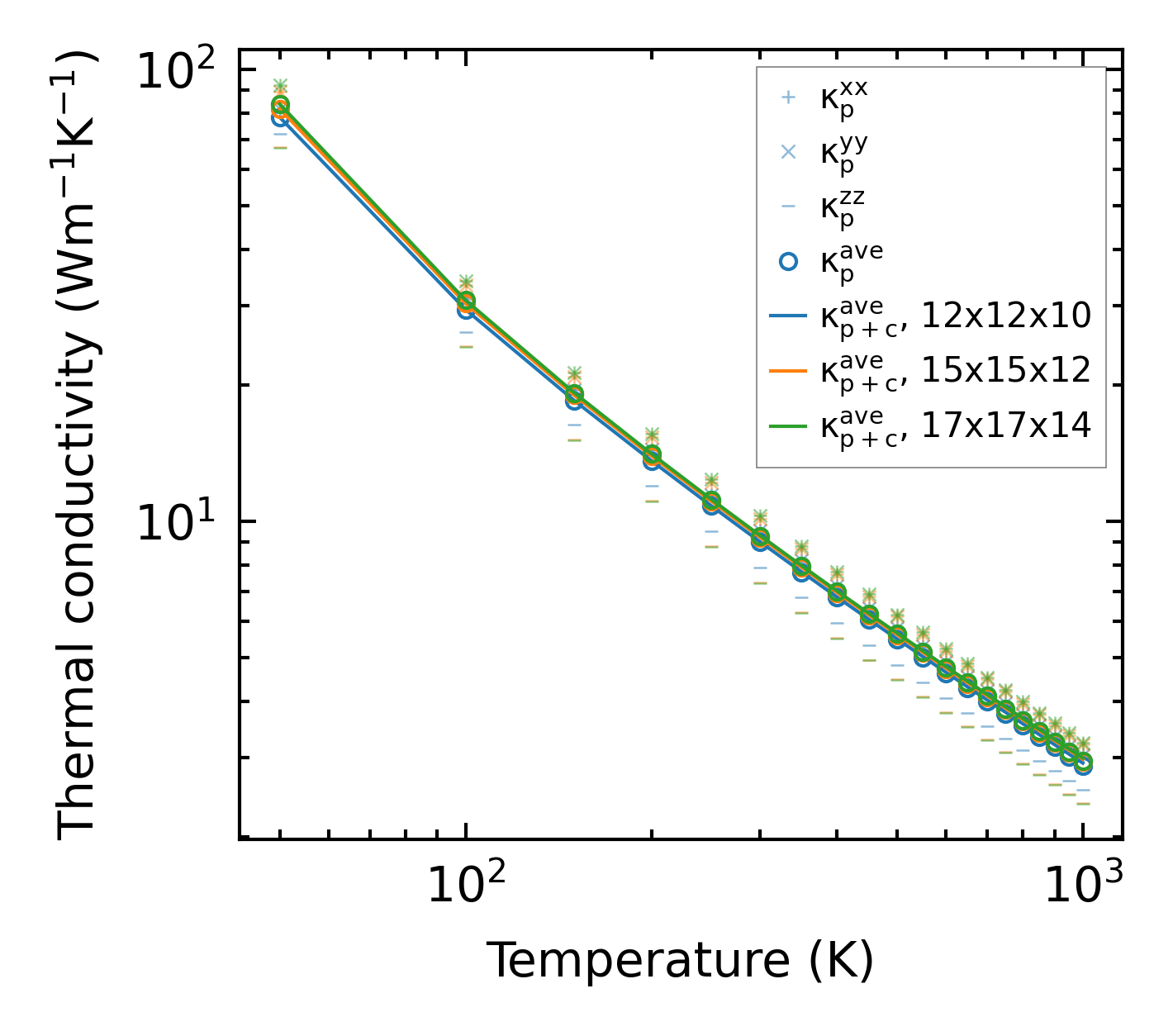
../../_images/fig_kappa378.png

(a) Temperature-dependent lattice thermal conductivity

../../_images/fig_kappa_vs_grain_size196.png

(b) Peierls lattice thermal conductivity w.r.t grain size

Phonon lifetime and scattering rates

../../_images/fig_lifetime192.png

(a) Phonon lifetime due to phonon-phonon scattering

../../_images/fig_scat_rates191.png

(b) Phonon scattering rates

Cumulative and spectral thermal conductivity

../../_images/fig_cumu_frequency192.png

(a) Spectral and cumulative thermal conductivity w.r.t frequency

../../_images/fig_cumu_mfp192.png

(b) Spectral and cumulative thermal conductivity w.r.t MFP

Force constants

../../_images/fig_fc2247.png

(a) Force constants w.r.t atomic distance

Summary

../../_images/fig_kappa379.png

(a) Temperature-dependent lattice thermal conductivity

../../_images/fig_times457.png

(b) Computation time