mp-1008561/TmTlTe2/anharm

Harmonic properties

../../_images/fig_bandos_pr285.png

(a) Phonon dispersion with participation ratio and DOS

../../_images/fig_thermo285.png

(b) Thermodynamic properties

Grüneisen parameters

../../_images/fig_gru_all195.png

(a) Grüneisen parameters

../../_images/fig_gruneisen195.png

(b) Phonon dispersion with Grüneisen parameters

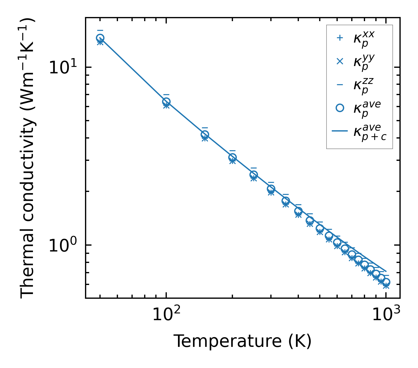
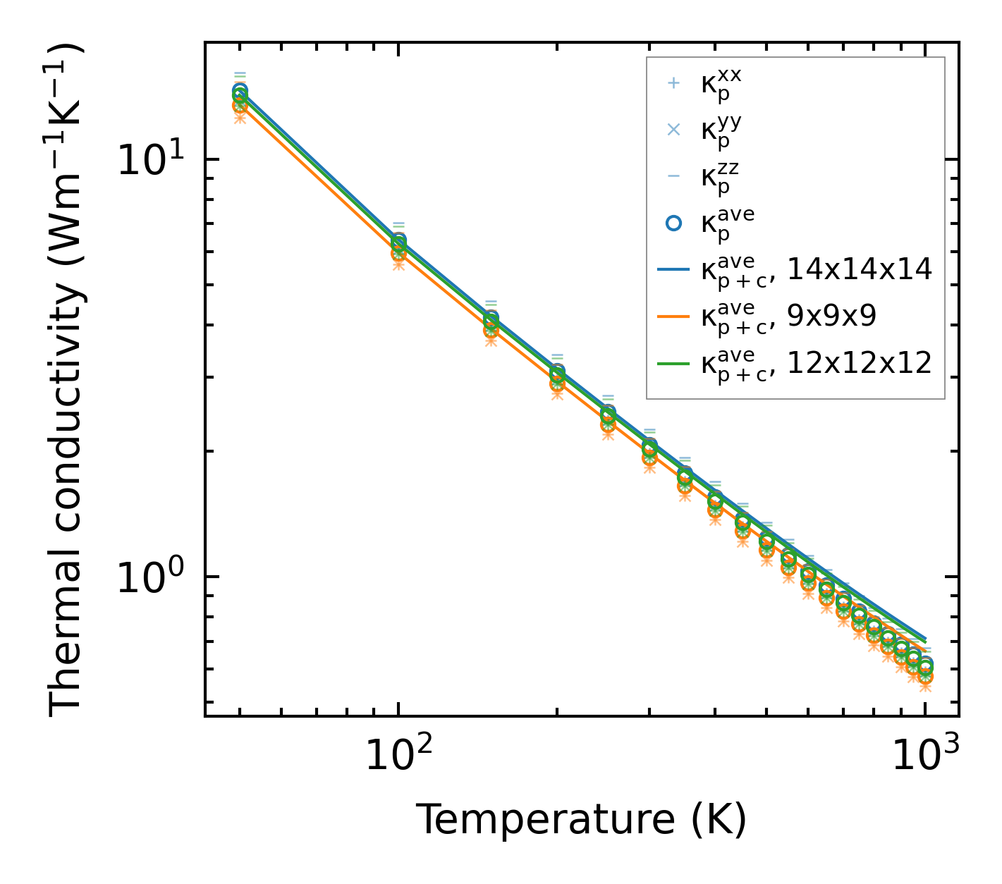
Thermal conductivity

3-phonon (LASSO) — q-mesh: 14x14x14, supercell: 3x3x1

../../_images/fig_kappa382.png

(a) Temperature-dependent lattice thermal conductivity

../../_images/fig_kappa_vs_grain_size198.png

(b) Peierls lattice thermal conductivity w.r.t grain size

Phonon lifetime and scattering rates

../../_images/fig_lifetime194.png

(a) Phonon lifetime due to phonon-phonon scattering

../../_images/fig_scat_rates193.png

(b) Phonon scattering rates

Cumulative and spectral thermal conductivity

../../_images/fig_cumu_frequency194.png

(a) Spectral and cumulative thermal conductivity w.r.t frequency

../../_images/fig_cumu_mfp194.png

(b) Spectral and cumulative thermal conductivity w.r.t MFP

Force constants

../../_images/fig_fc2249.png

(a) Force constants w.r.t atomic distance

Summary

../../_images/fig_kappa383.png

(a) Temperature-dependent lattice thermal conductivity

../../_images/fig_times462.png

(b) Computation time