mp-1008500/BaO/anharm

Harmonic properties

../../_images/fig_bandos_pr282.png

(a) Phonon dispersion with participation ratio and DOS

../../_images/fig_thermo282.png

(b) Thermodynamic properties

Grüneisen parameters

../../_images/fig_gru_all192.png

(a) Grüneisen parameters

../../_images/fig_gruneisen192.png

(b) Phonon dispersion with Grüneisen parameters

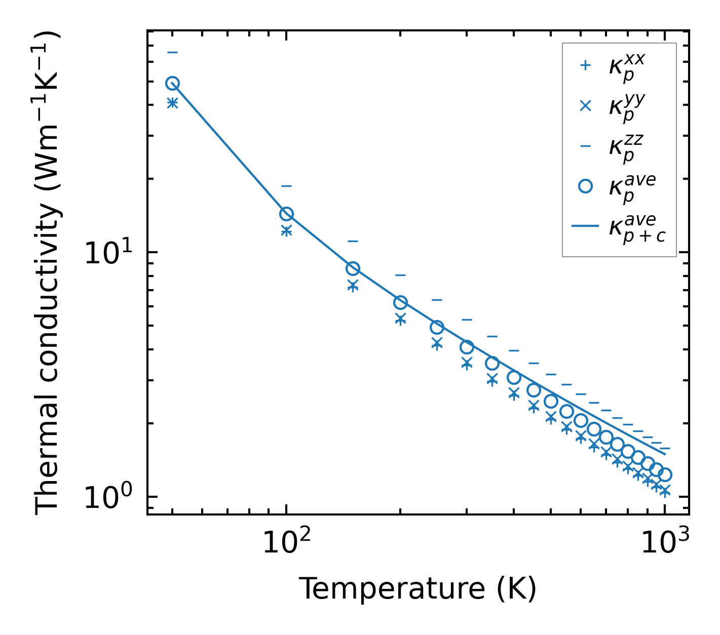
Thermal conductivity

3-phonon (LASSO) — q-mesh: 19x19x11, supercell: 4x2x2

../../_images/fig_kappa376.png

(a) Temperature-dependent lattice thermal conductivity

../../_images/fig_kappa_vs_grain_size195.png

(b) Peierls lattice thermal conductivity w.r.t grain size

Phonon lifetime and scattering rates

../../_images/fig_lifetime191.png

(a) Phonon lifetime due to phonon-phonon scattering

../../_images/fig_scat_rates190.png

(b) Phonon scattering rates

Cumulative and spectral thermal conductivity

../../_images/fig_cumu_frequency191.png

(a) Spectral and cumulative thermal conductivity w.r.t frequency

../../_images/fig_cumu_mfp191.png

(b) Spectral and cumulative thermal conductivity w.r.t MFP

Force constants

../../_images/fig_fc2246.png

(a) Force constants w.r.t atomic distance

Summary

../../_images/fig_kappa377.png

(a) Temperature-dependent lattice thermal conductivity

../../_images/fig_times456.png

(b) Computation time