mp-1008395/C/anharm

Harmonic properties

../../_images/fig_bandos_pr280.png

(a) Phonon dispersion with participation ratio and DOS

../../_images/fig_thermo280.png

(b) Thermodynamic properties

Grüneisen parameters

../../_images/fig_gru_all191.png

(a) Grüneisen parameters

../../_images/fig_gruneisen191.png

(b) Phonon dispersion with Grüneisen parameters

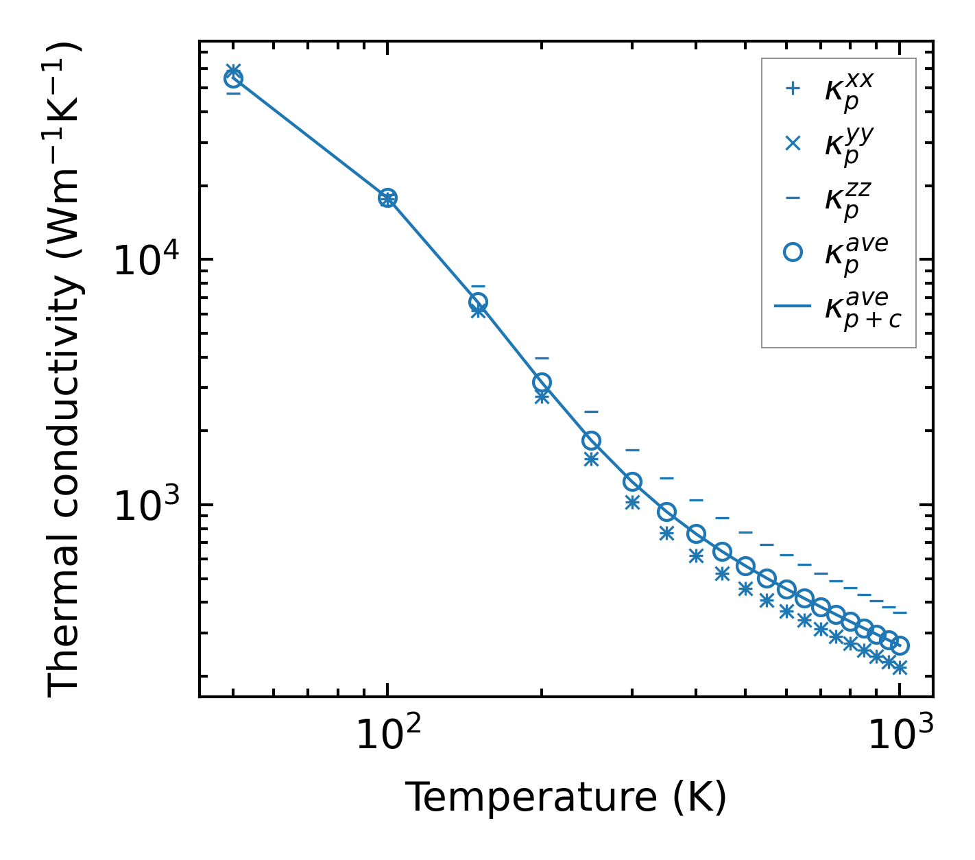
Thermal conductivity

3-phonon (LASSO) — q-mesh: 25x25x25, supercell: 2x2x4

../../_images/fig_kappa374.png

(a) Temperature-dependent lattice thermal conductivity

../../_images/fig_kappa_vs_grain_size194.png

(b) Peierls lattice thermal conductivity w.r.t grain size

Phonon lifetime and scattering rates

../../_images/fig_lifetime190.png

(a) Phonon lifetime due to phonon-phonon scattering

../../_images/fig_scat_rates189.png

(b) Phonon scattering rates

Cumulative and spectral thermal conductivity

../../_images/fig_cumu_frequency190.png

(a) Spectral and cumulative thermal conductivity w.r.t frequency

../../_images/fig_cumu_mfp190.png

(b) Spectral and cumulative thermal conductivity w.r.t MFP

Force constants

../../_images/fig_fc2244.png

(a) Force constants w.r.t atomic distance

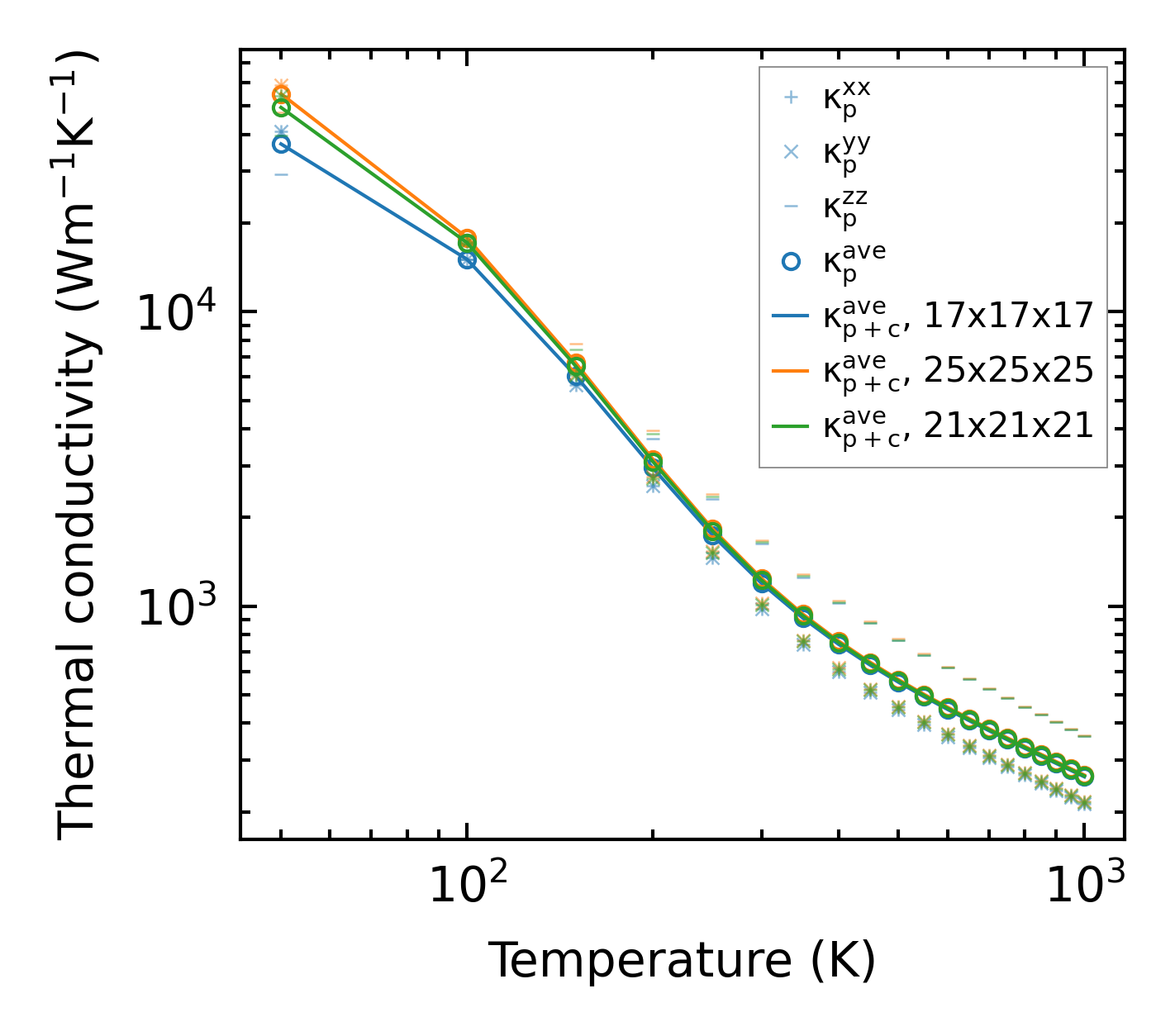
Summary

../../_images/fig_kappa375.png

(a) Temperature-dependent lattice thermal conductivity

../../_images/fig_times454.png

(b) Computation time