mp-984766/CaB2H8/anharm

Harmonic properties

../../_images/fig_bandos_pr1097.png

(a) Phonon dispersion with participation ratio and DOS

../../_images/fig_thermo1097.png

(b) Thermodynamic properties

Grüneisen parameters

../../_images/fig_gru_all676.png

(a) Grüneisen parameters

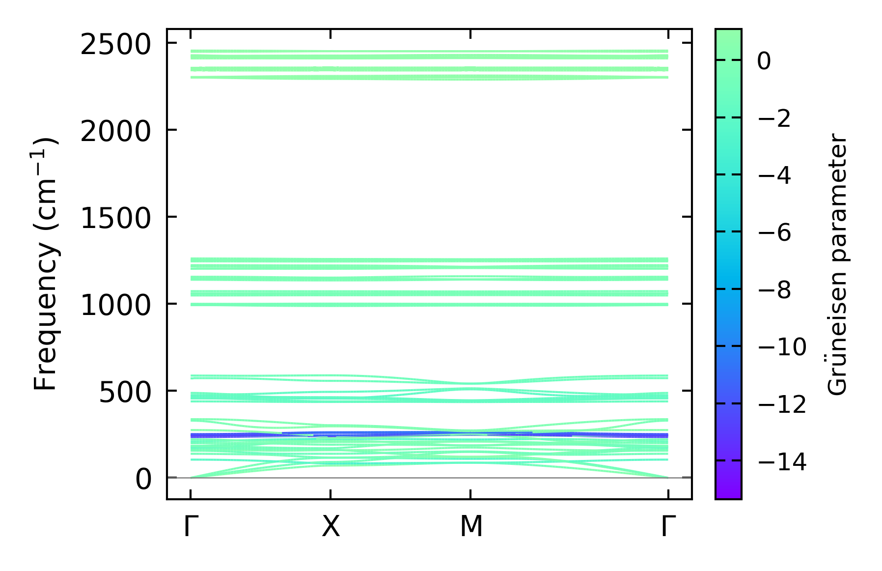
../../_images/fig_gruneisen676.png

(b) Phonon dispersion with Grüneisen parameters

Thermal conductivity

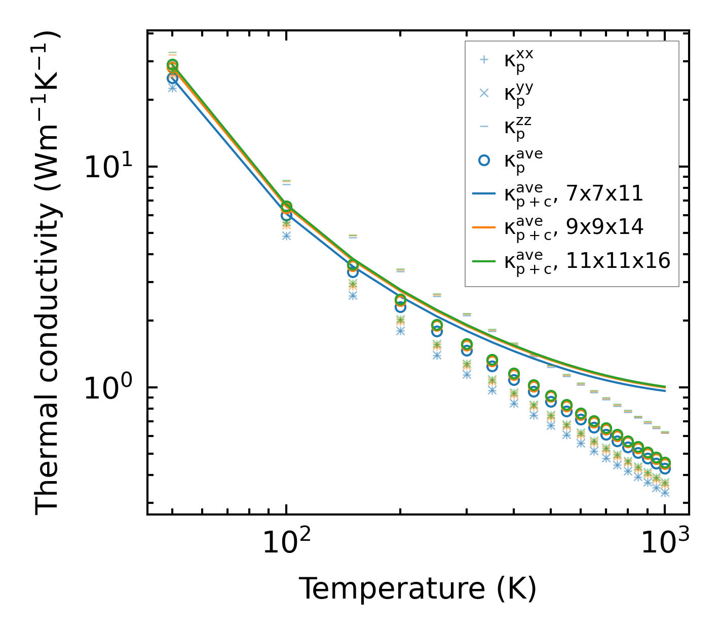
3-phonon (LASSO) — q-mesh: 11x11x16, supercell: 1x1x2

../../_images/fig_kappa1318.png

(a) Temperature-dependent lattice thermal conductivity

../../_images/fig_kappa_vs_grain_size684.png

(b) Peierls lattice thermal conductivity w.r.t grain size

Phonon lifetime and scattering rates

../../_images/fig_lifetime674.png

(a) Phonon lifetime due to phonon-phonon scattering

../../_images/fig_scat_rates673.png

(b) Phonon scattering rates

Cumulative and spectral thermal conductivity

../../_images/fig_cumu_frequency674.png

(a) Spectral and cumulative thermal conductivity w.r.t frequency

../../_images/fig_cumu_mfp674.png

(b) Spectral and cumulative thermal conductivity w.r.t MFP

Force constants

../../_images/fig_fc2964.png

(a) Force constants w.r.t atomic distance

Summary

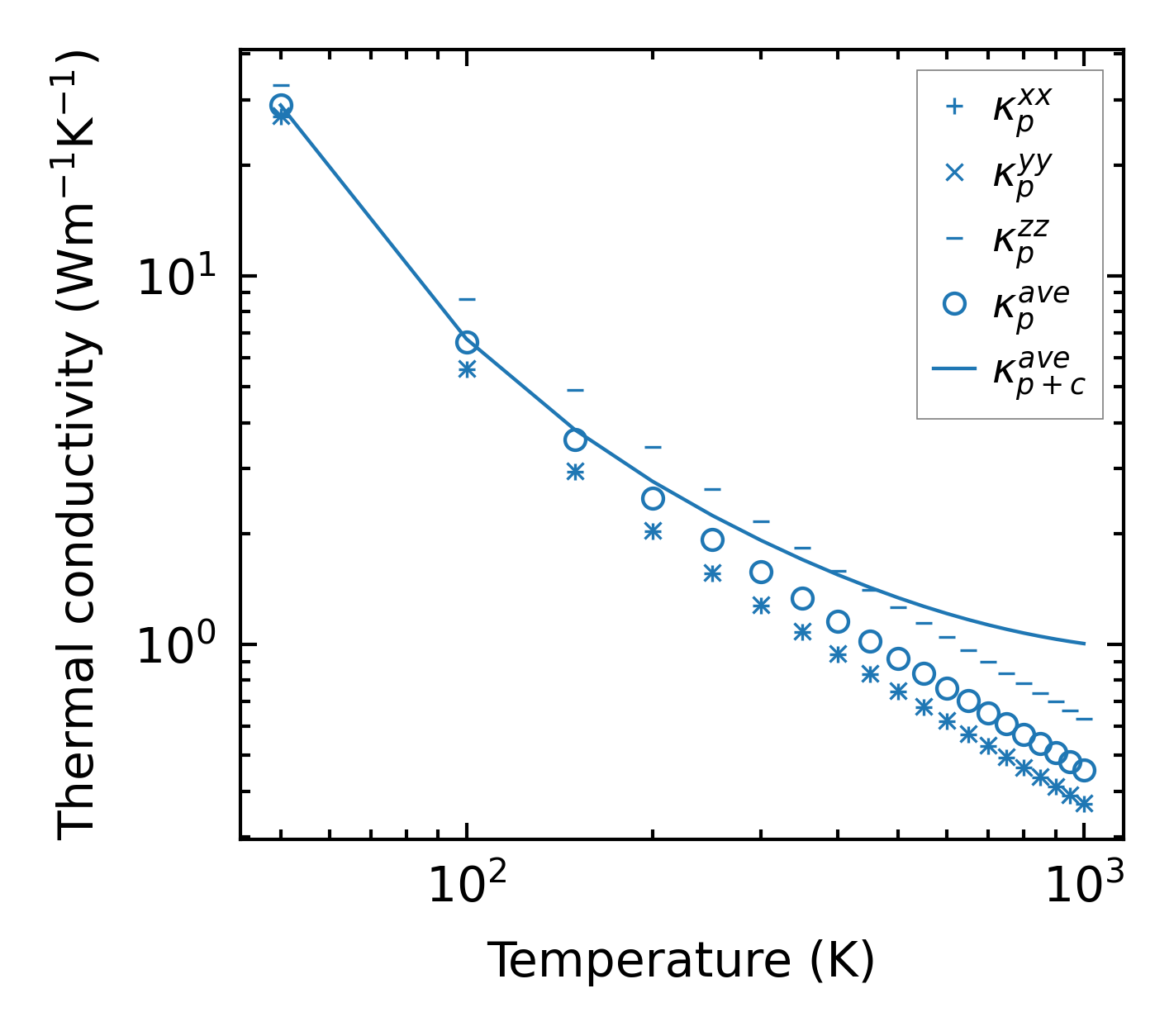
../../_images/fig_kappa1319.png

(a) Temperature-dependent lattice thermal conductivity

../../_images/fig_times1649.png

(b) Computation time