mp-984766-2/CaB2H8/anharm

Equation of state

../../_images/fig_bm365.png

(a) Equation of state

Harmonic properties

../../_images/fig_bandos_pr1098.png

(a) Phonon dispersion with participation ratio and DOS

../../_images/fig_thermo1098.png

(b) Thermodynamic properties

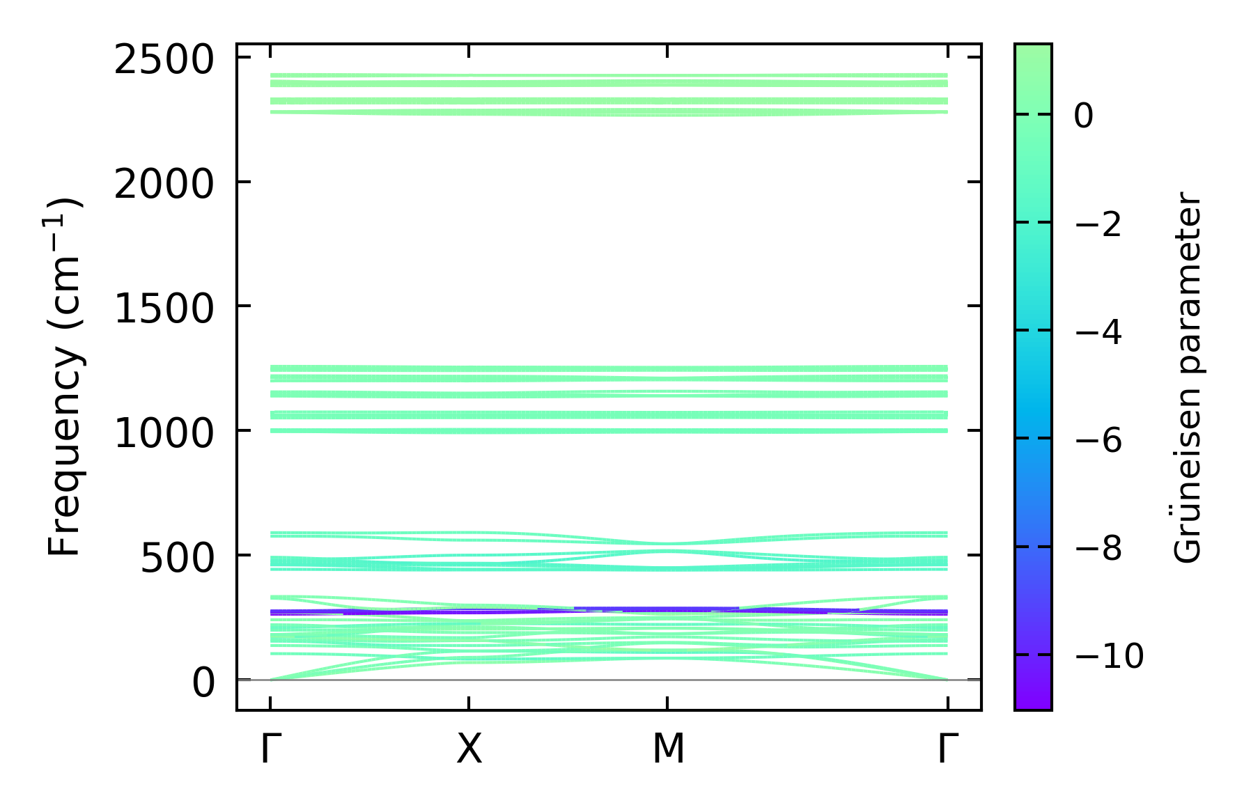
Grüneisen parameters

../../_images/fig_gru_all677.png

(a) Grüneisen parameters

../../_images/fig_gruneisen677.png

(b) Phonon dispersion with Grüneisen parameters

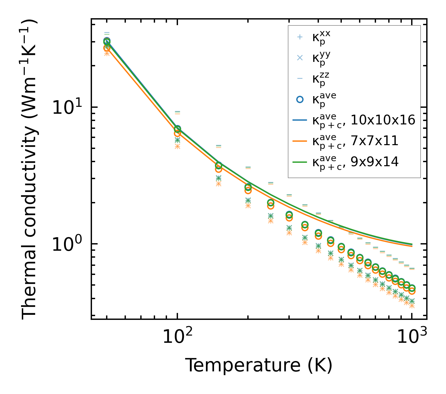
Thermal conductivity

3-phonon (LASSO) — q-mesh: 10x10x16, supercell: 1x1x2

../../_images/fig_kappa1320.png

(a) Temperature-dependent lattice thermal conductivity

../../_images/fig_kappa_vs_grain_size685.png

(b) Peierls lattice thermal conductivity w.r.t grain size

Phonon lifetime and scattering rates

../../_images/fig_lifetime675.png

(a) Phonon lifetime due to phonon-phonon scattering

../../_images/fig_scat_rates674.png

(b) Phonon scattering rates

Cumulative and spectral thermal conductivity

../../_images/fig_cumu_frequency675.png

(a) Spectral and cumulative thermal conductivity w.r.t frequency

../../_images/fig_cumu_mfp675.png

(b) Spectral and cumulative thermal conductivity w.r.t MFP

Force constants

../../_images/fig_fc2965.png

(a) Force constants w.r.t atomic distance

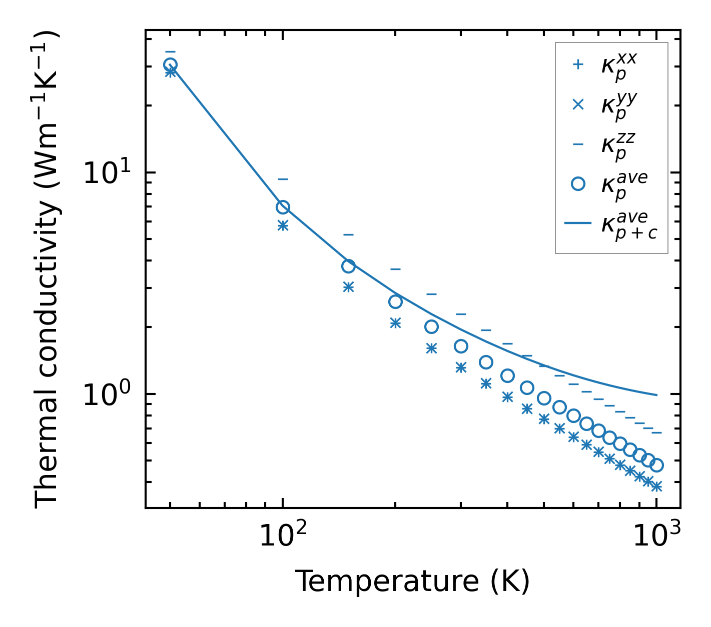
Summary

../../_images/fig_kappa1321.png

(a) Temperature-dependent lattice thermal conductivity

../../_images/fig_times1650.png

(b) Computation time