mp-862947/Ba2BiAu/anharm

Harmonic properties

../../_images/fig_bandos_pr1498.png

(a) Phonon dispersion with participation ratio and DOS

../../_images/fig_thermo1498.png

(b) Thermodynamic properties

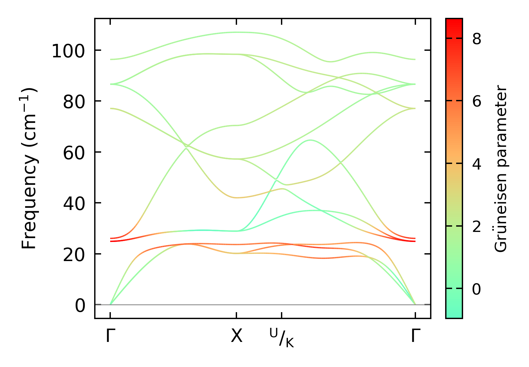
Grüneisen parameters

../../_images/fig_gru_all914.png

(a) Grüneisen parameters

../../_images/fig_gruneisen914.png

(b) Phonon dispersion with Grüneisen parameters

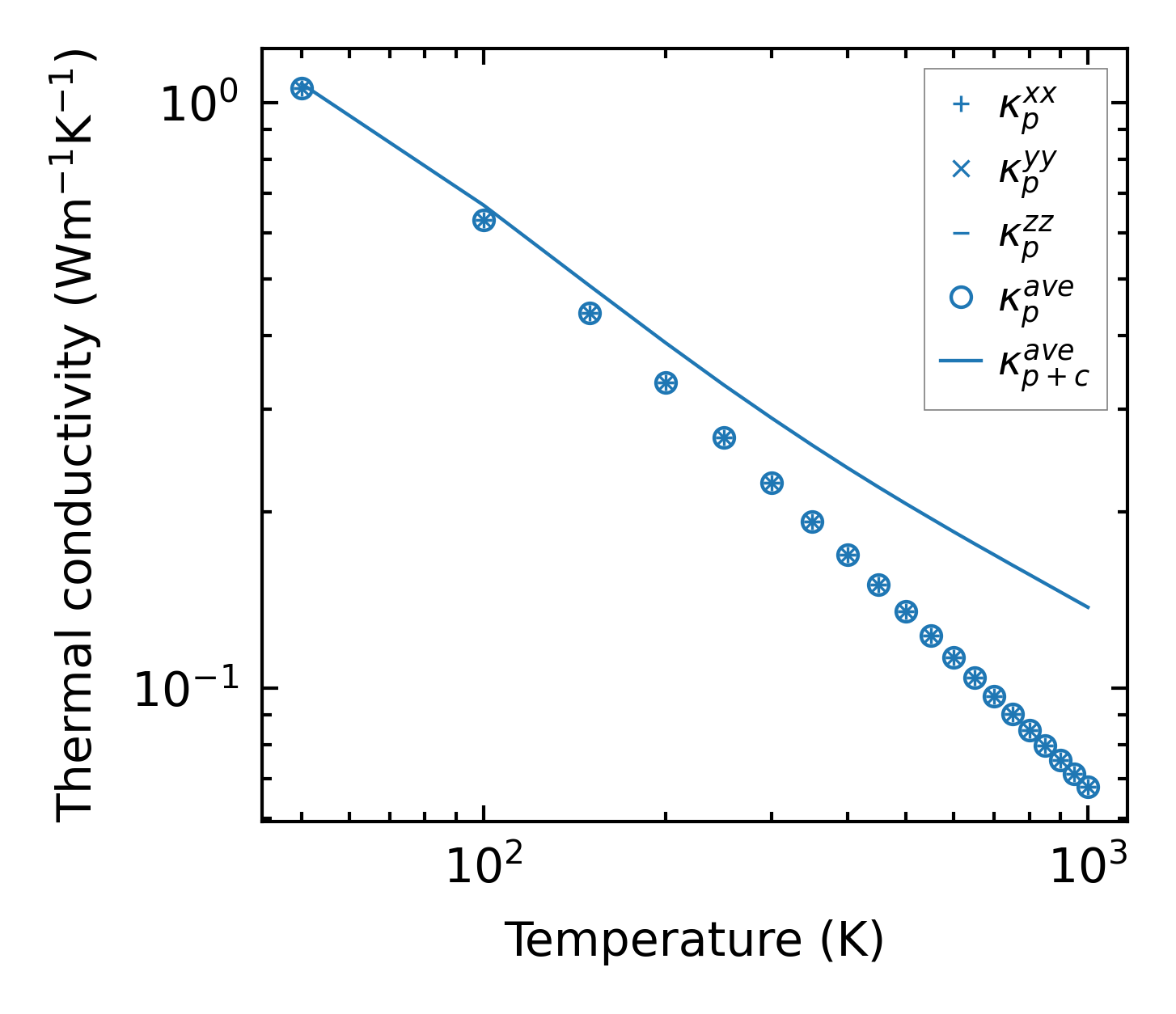
Thermal conductivity

3-phonon — q-mesh: 13x13x13, supercell: 2x2x2

../../_images/fig_kappa1775.png

(a) Temperature-dependent lattice thermal conductivity

../../_images/fig_kappa_vs_grain_size924.png

(b) Peierls lattice thermal conductivity w.r.t grain size

Phonon lifetime and scattering rates

../../_images/fig_lifetime907.png

(a) Phonon lifetime due to phonon-phonon scattering

../../_images/fig_scat_rates906.png

(b) Phonon scattering rates

Cumulative and spectral thermal conductivity

../../_images/fig_cumu_frequency907.png

(a) Spectral and cumulative thermal conductivity w.r.t frequency

../../_images/fig_cumu_mfp907.png

(b) Spectral and cumulative thermal conductivity w.r.t MFP

Force constants

../../_images/fig_fc3150.png

(a) Force constants w.r.t atomic distance

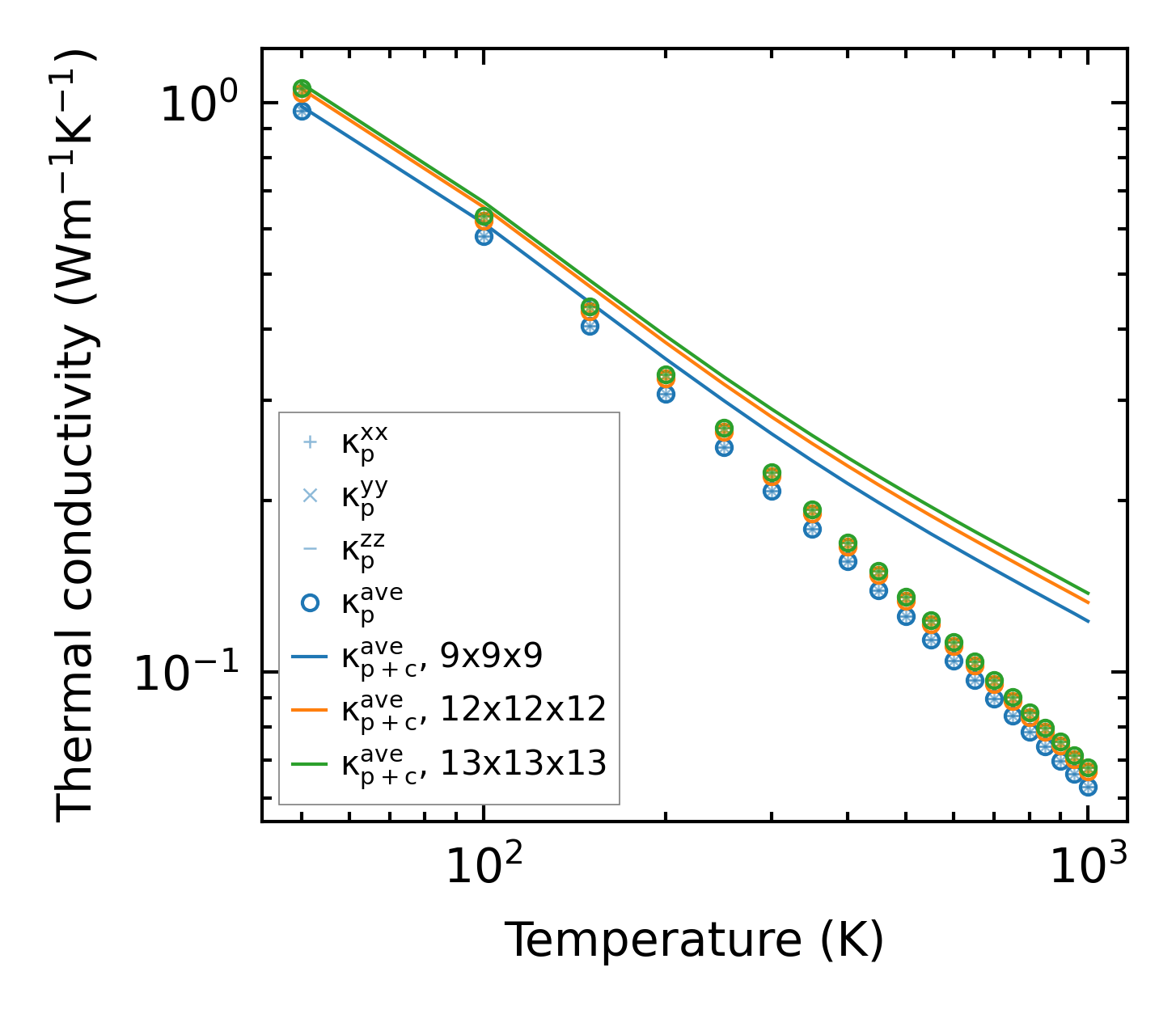
Summary

../../_images/fig_kappa1776.png

(a) Temperature-dependent lattice thermal conductivity

../../_images/fig_times2234.png

(b) Computation time