mp-862701/CsCaCO3F/anharm

Harmonic properties

../../_images/fig_bandos_pr1486.png

(a) Phonon dispersion with participation ratio and DOS

../../_images/fig_thermo1486.png

(b) Thermodynamic properties

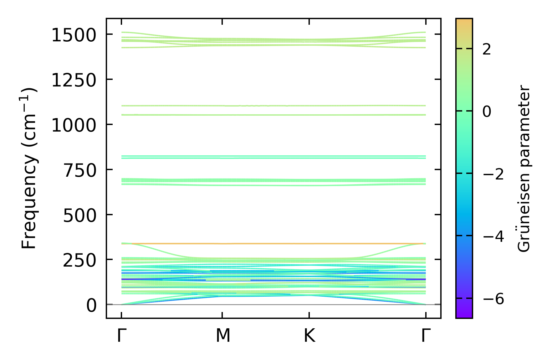
Grüneisen parameters

../../_images/fig_gru_all909.png

(a) Grüneisen parameters

../../_images/fig_gruneisen909.png

(b) Phonon dispersion with Grüneisen parameters

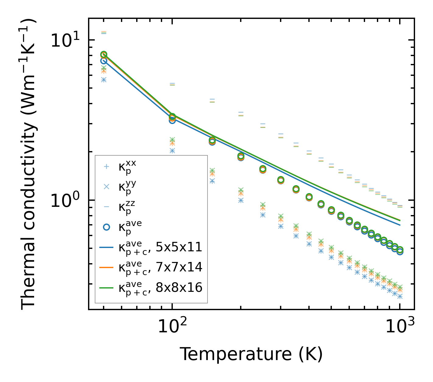
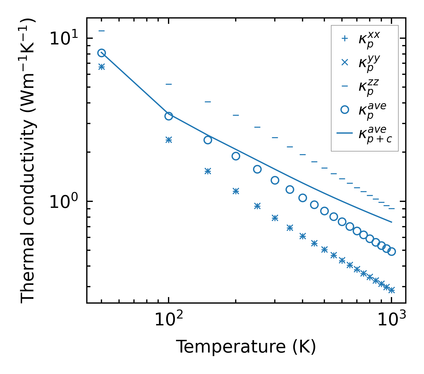
Thermal conductivity

3-phonon (LASSO) — q-mesh: 8x8x16, supercell: 1x1x3

../../_images/fig_kappa1765.png

(a) Temperature-dependent lattice thermal conductivity

../../_images/fig_kappa_vs_grain_size919.png

(b) Peierls lattice thermal conductivity w.r.t grain size

Phonon lifetime and scattering rates

../../_images/fig_lifetime902.png

(a) Phonon lifetime due to phonon-phonon scattering

../../_images/fig_scat_rates901.png

(b) Phonon scattering rates

Cumulative and spectral thermal conductivity

../../_images/fig_cumu_frequency902.png

(a) Spectral and cumulative thermal conductivity w.r.t frequency

../../_images/fig_cumu_mfp902.png

(b) Spectral and cumulative thermal conductivity w.r.t MFP

Force constants

../../_images/fig_fc21337.png

(a) Force constants w.r.t atomic distance

Summary

../../_images/fig_kappa1766.png

(a) Temperature-dependent lattice thermal conductivity

../../_images/fig_times2216.png

(b) Computation time