mp-862832/PaTlO3/anharm

Harmonic properties

../../_images/fig_bandos_pr1495.png

(a) Phonon dispersion with participation ratio and DOS

../../_images/fig_thermo1495.png

(b) Thermodynamic properties

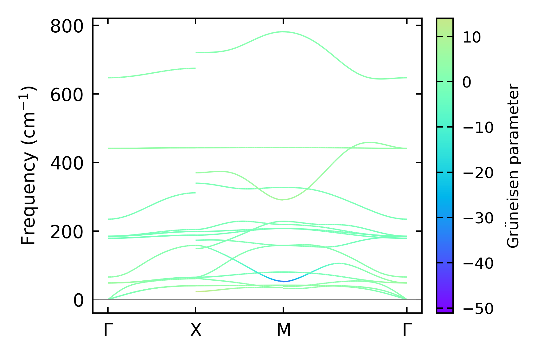
Grüneisen parameters

../../_images/fig_gru_all913.png

(a) Grüneisen parameters

../../_images/fig_gruneisen913.png

(b) Phonon dispersion with Grüneisen parameters

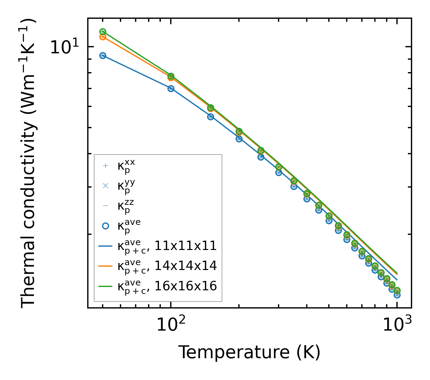
Thermal conductivity

3-phonon — q-mesh: 16x16x16, supercell: 3x3x3

../../_images/fig_kappa1773.png

(a) Temperature-dependent lattice thermal conductivity

../../_images/fig_kappa_vs_grain_size923.png

(b) Peierls lattice thermal conductivity w.r.t grain size

Phonon lifetime and scattering rates

../../_images/fig_lifetime906.png

(a) Phonon lifetime due to phonon-phonon scattering

../../_images/fig_scat_rates905.png

(b) Phonon scattering rates

Cumulative and spectral thermal conductivity

../../_images/fig_cumu_frequency906.png

(a) Spectral and cumulative thermal conductivity w.r.t frequency

../../_images/fig_cumu_mfp906.png

(b) Spectral and cumulative thermal conductivity w.r.t MFP

Force constants

../../_images/fig_fc3149.png

(a) Force constants w.r.t atomic distance

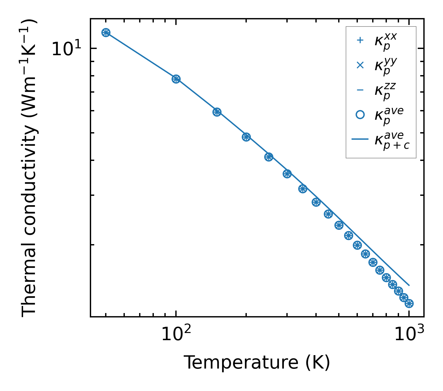
Summary

../../_images/fig_kappa1774.png

(a) Temperature-dependent lattice thermal conductivity

../../_images/fig_times2227.png

(b) Computation time