mp-862539-2/BH6CN3F4/harm

Equation of state

../../_images/fig_bm704.png

(a) Equation of state

Harmonic properties

../../_images/fig_bandos_pr1778.png

(a) Phonon dispersion with participation ratio and DOS

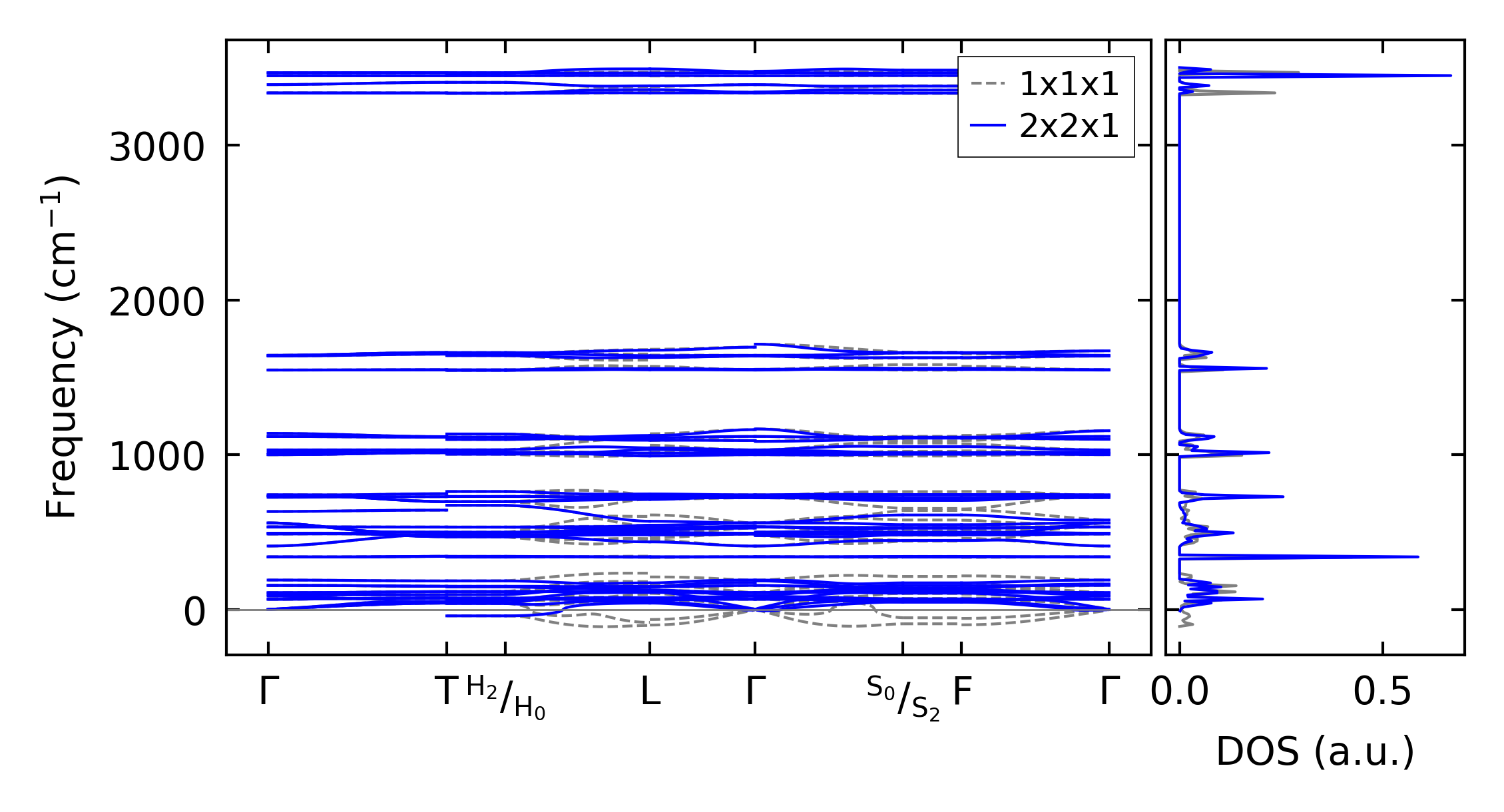
../../_images/fig_bandos1799.png

(b) Phonon dispersion and DOS

../../_images/fig_thermo1778.png

(c) Thermodynamic properties

Force constants

../../_images/fig_fc21608.png

(a) Force constants w.r.t atomic distance

Summary

../../_images/fig_times2721.png

(a) Computation time