mp-778772-2/Li3Cu3P2O8/harm

Equation of state

../../_images/fig_bm952.png

(a) Equation of state

Harmonic properties

../../_images/fig_bandos_pr2179.png

(a) Phonon dispersion with participation ratio and DOS

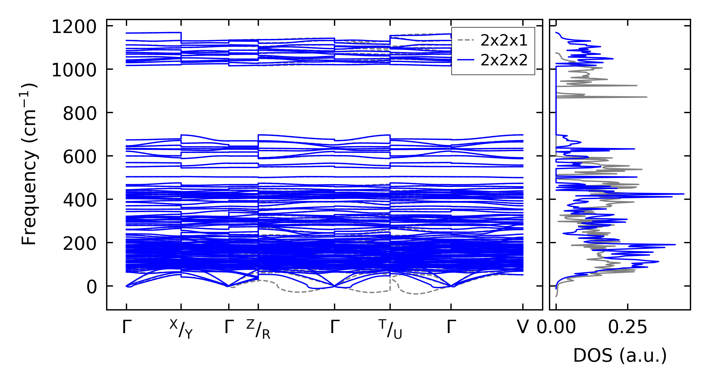
../../_images/fig_bandos2265.png

(b) Phonon dispersion and DOS

../../_images/fig_thermo2179.png

(c) Thermodynamic properties

Force constants

../../_images/fig_fc22000.png

(a) Force constants w.r.t atomic distance

Summary

../../_images/fig_times3367.png

(a) Computation time