mp-778152/Sc2Pt2O7/anharm

Harmonic properties

../../_images/fig_bandos_pr2162.png

(a) Phonon dispersion with participation ratio and DOS

../../_images/fig_thermo2162.png

(b) Thermodynamic properties

Grüneisen parameters

../../_images/fig_gru_all1227.png

(a) Grüneisen parameters

../../_images/fig_gruneisen1227.png

(b) Phonon dispersion with Grüneisen parameters

Thermal conductivity

3-phonon (LASSO) — q-mesh: 11x11x11, supercell: 1x1x1

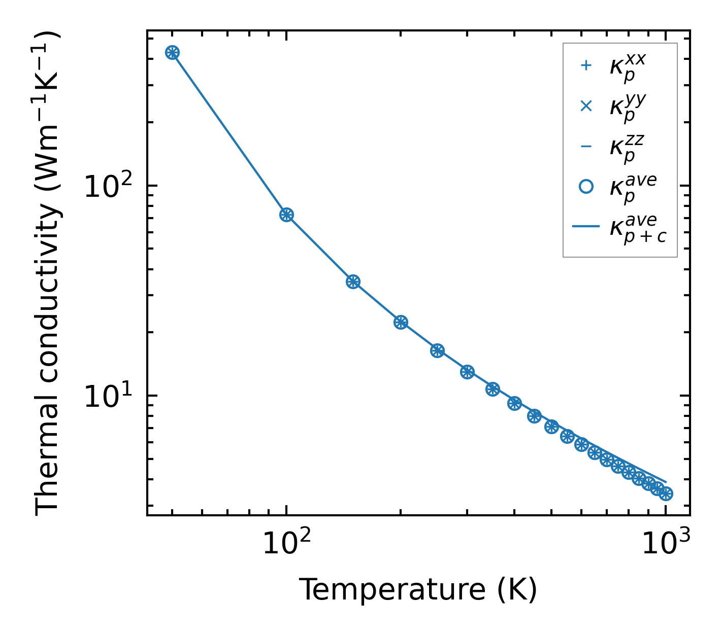
../../_images/fig_kappa2362.png

(a) Temperature-dependent lattice thermal conductivity

../../_images/fig_kappa_vs_grain_size1241.png

(b) Peierls lattice thermal conductivity w.r.t grain size

Phonon lifetime and scattering rates

../../_images/fig_lifetime1217.png

(a) Phonon lifetime due to phonon-phonon scattering

../../_images/fig_scat_rates1216.png

(b) Phonon scattering rates

Cumulative and spectral thermal conductivity

../../_images/fig_cumu_frequency1217.png

(a) Spectral and cumulative thermal conductivity w.r.t frequency

../../_images/fig_cumu_mfp1217.png

(b) Spectral and cumulative thermal conductivity w.r.t MFP

Force constants

../../_images/fig_fc21983.png

(a) Force constants w.r.t atomic distance

Summary

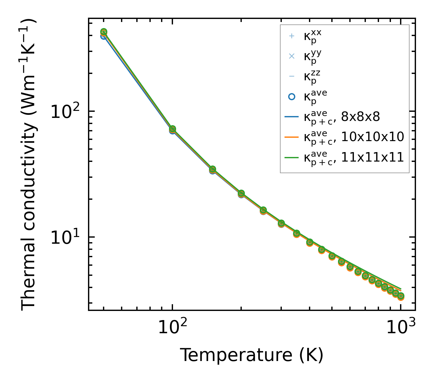
../../_images/fig_kappa2363.png

(a) Temperature-dependent lattice thermal conductivity

../../_images/fig_times3325.png

(b) Computation time