mp-778379-2/Tb2WO6/anharm

Equation of state

../../_images/fig_bm938.png

(a) Equation of state

Harmonic properties

../../_images/fig_bandos_pr2164.png

(a) Phonon dispersion with participation ratio and DOS

../../_images/fig_bandos2235.png

(b) Phonon dispersion and DOS

../../_images/fig_thermo2164.png

(c) Thermodynamic properties

Grüneisen parameters

../../_images/fig_gru_all1229.png

(a) Grüneisen parameters

../../_images/fig_gruneisen1229.png

(b) Phonon dispersion with Grüneisen parameters

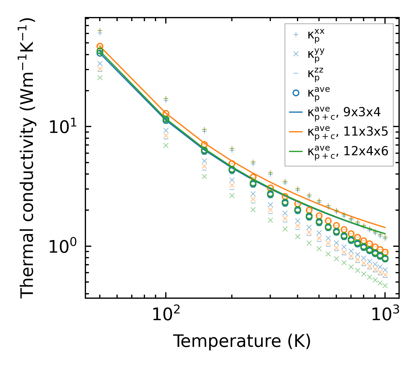
Thermal conductivity

3-phonon (LASSO) — q-mesh: 12x4x6, supercell: 2x1x1

../../_images/fig_kappa2366.png

(a) Temperature-dependent lattice thermal conductivity

../../_images/fig_kappa_vs_grain_size1243.png

(b) Peierls lattice thermal conductivity w.r.t grain size

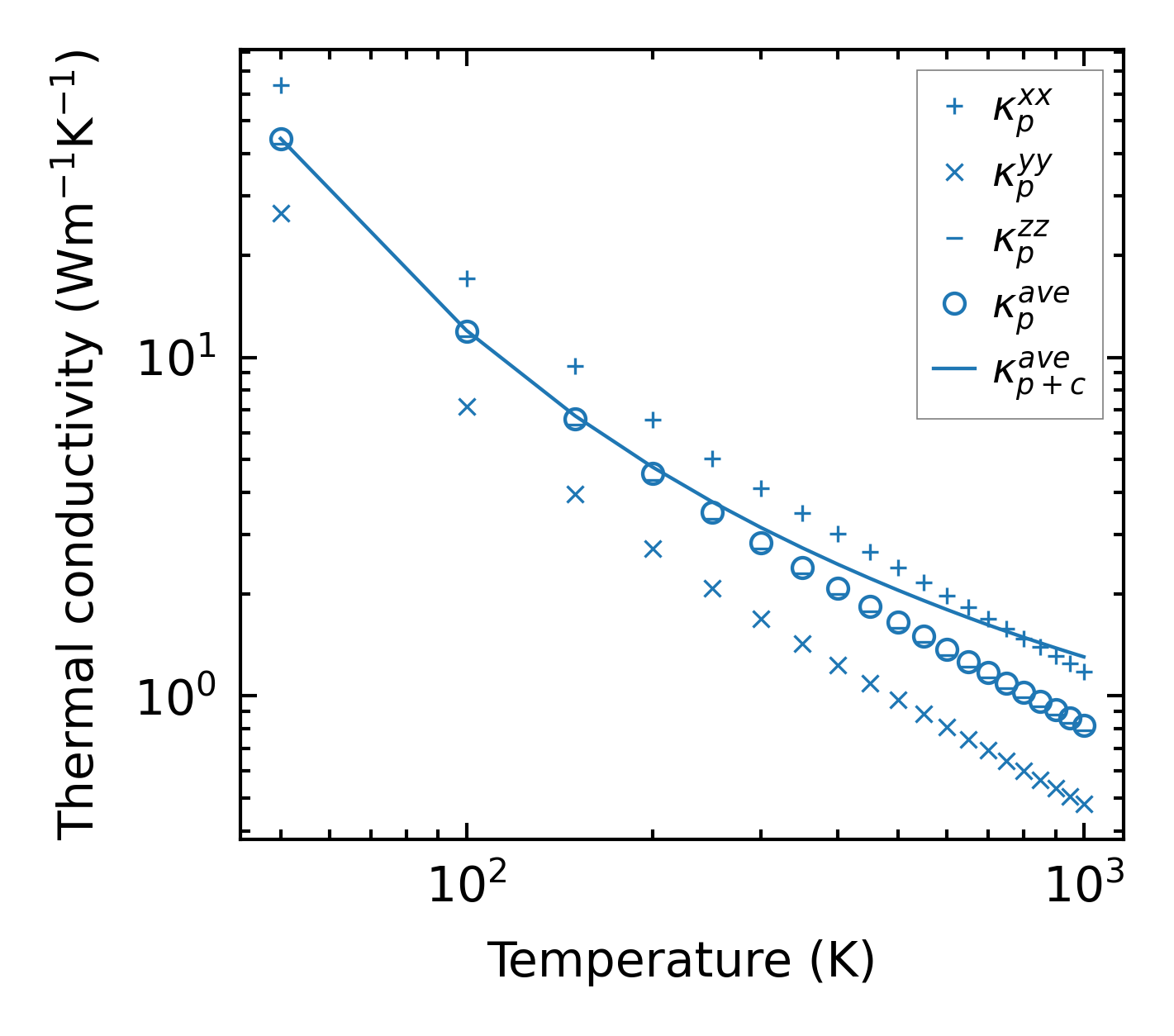
3-phonon (LASSO), supercell 2x1x2 — q-mesh: 12x4x6, supercell: 2x1x2

../../_images/fig_kappa2367.png

(a) Temperature-dependent lattice thermal conductivity

../../_images/fig_kappa_vs_grain_size1244.png

(b) Peierls lattice thermal conductivity w.r.t grain size

Phonon lifetime and scattering rates

../../_images/fig_lifetime1219.png

(a) Phonon lifetime due to phonon-phonon scattering

../../_images/fig_scat_rates1218.png

(b) Phonon scattering rates

Cumulative and spectral thermal conductivity

../../_images/fig_cumu_frequency1219.png

(a) Spectral and cumulative thermal conductivity w.r.t frequency

../../_images/fig_cumu_mfp1219.png

(b) Spectral and cumulative thermal conductivity w.r.t MFP

Force constants

../../_images/fig_fc21985.png

(a) Force constants w.r.t atomic distance

Summary

../../_images/fig_kappa2368.png

(a) Temperature-dependent lattice thermal conductivity

../../_images/fig_times3336.png

(b) Computation time