mp-778114/Sm2Ge2O7/anharm

Harmonic properties

../../_images/fig_bandos_pr2160.png

(a) Phonon dispersion with participation ratio and DOS

../../_images/fig_thermo2160.png

(b) Thermodynamic properties

Grüneisen parameters

../../_images/fig_gru_all1226.png

(a) Grüneisen parameters

../../_images/fig_gruneisen1226.png

(b) Phonon dispersion with Grüneisen parameters

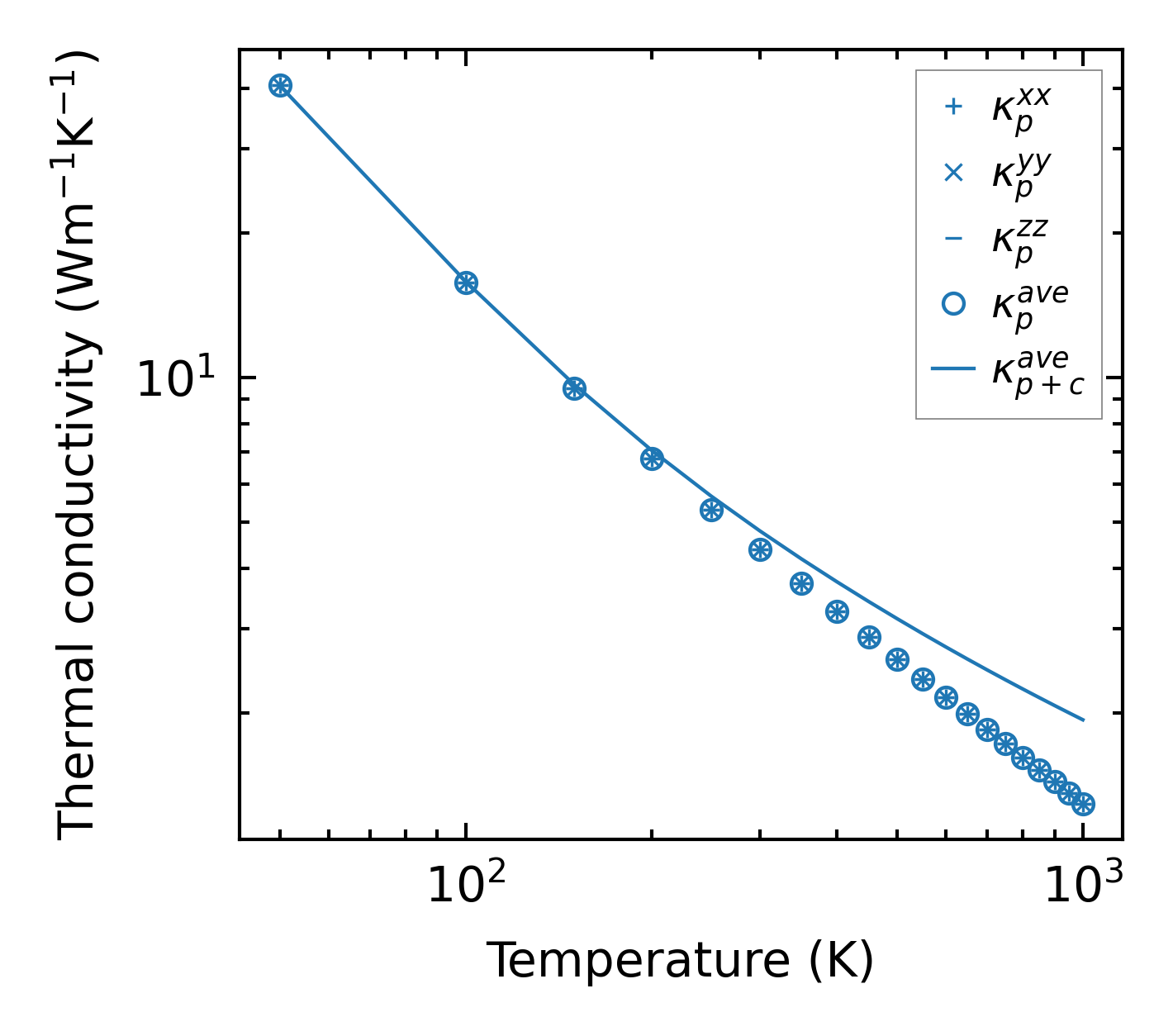
Thermal conductivity

3-phonon (LASSO) — q-mesh: 11x11x11, supercell: 1x1x1

../../_images/fig_kappa2360.png

(a) Temperature-dependent lattice thermal conductivity

../../_images/fig_kappa_vs_grain_size1240.png

(b) Peierls lattice thermal conductivity w.r.t grain size

Phonon lifetime and scattering rates

../../_images/fig_lifetime1216.png

(a) Phonon lifetime due to phonon-phonon scattering

../../_images/fig_scat_rates1215.png

(b) Phonon scattering rates

Cumulative and spectral thermal conductivity

../../_images/fig_cumu_frequency1216.png

(a) Spectral and cumulative thermal conductivity w.r.t frequency

../../_images/fig_cumu_mfp1216.png

(b) Spectral and cumulative thermal conductivity w.r.t MFP

Force constants

../../_images/fig_fc21981.png

(a) Force constants w.r.t atomic distance

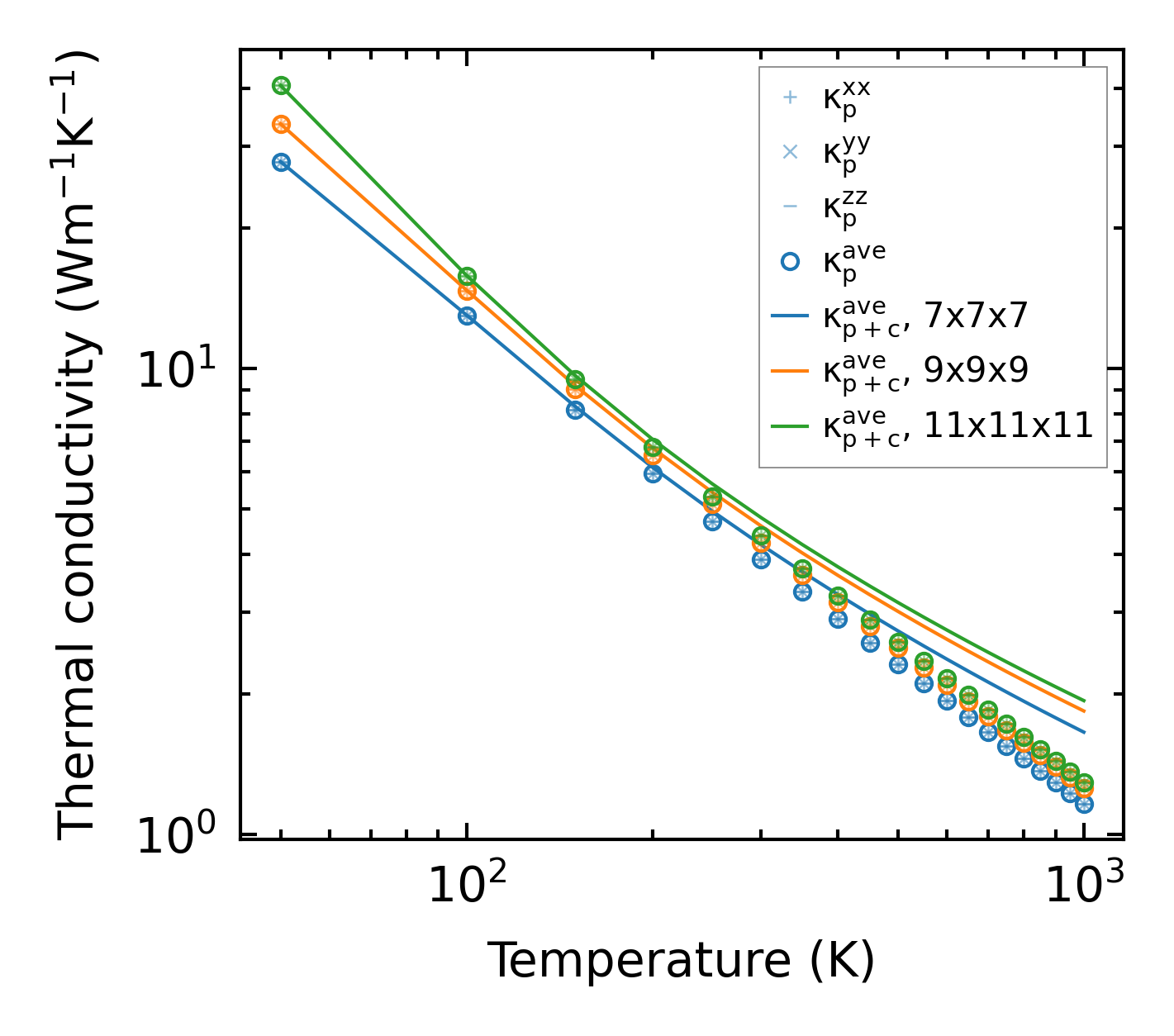
Summary

../../_images/fig_kappa2361.png

(a) Temperature-dependent lattice thermal conductivity

../../_images/fig_times3320.png

(b) Computation time