mp-770830/HoBiO3/anharm

Harmonic properties

../../_images/fig_bandos_pr2464.png

(a) Phonon dispersion with participation ratio and DOS

../../_images/fig_thermo2464.png

(b) Thermodynamic properties

Grüneisen parameters

../../_images/fig_gru_all1286.png

(a) Grüneisen parameters

../../_images/fig_gruneisen1286.png

(b) Phonon dispersion with Grüneisen parameters

Thermal conductivity

3-phonon (LASSO) — q-mesh: 11x8x12, supercell: 2x1x2

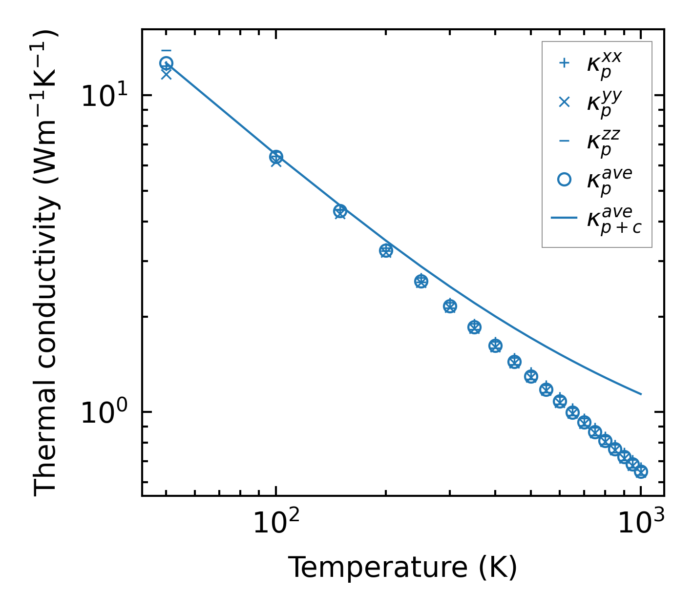
../../_images/fig_kappa2473.png

(a) Temperature-dependent lattice thermal conductivity

../../_images/fig_kappa_vs_grain_size1302.png

(b) Peierls lattice thermal conductivity w.r.t grain size

Phonon lifetime and scattering rates

../../_images/fig_lifetime1276.png

(a) Phonon lifetime due to phonon-phonon scattering

../../_images/fig_scat_rates1275.png

(b) Phonon scattering rates

Cumulative and spectral thermal conductivity

../../_images/fig_cumu_frequency1276.png

(a) Spectral and cumulative thermal conductivity w.r.t frequency

../../_images/fig_cumu_mfp1276.png

(b) Spectral and cumulative thermal conductivity w.r.t MFP

Force constants

../../_images/fig_fc22285.png

(a) Force constants w.r.t atomic distance

Summary

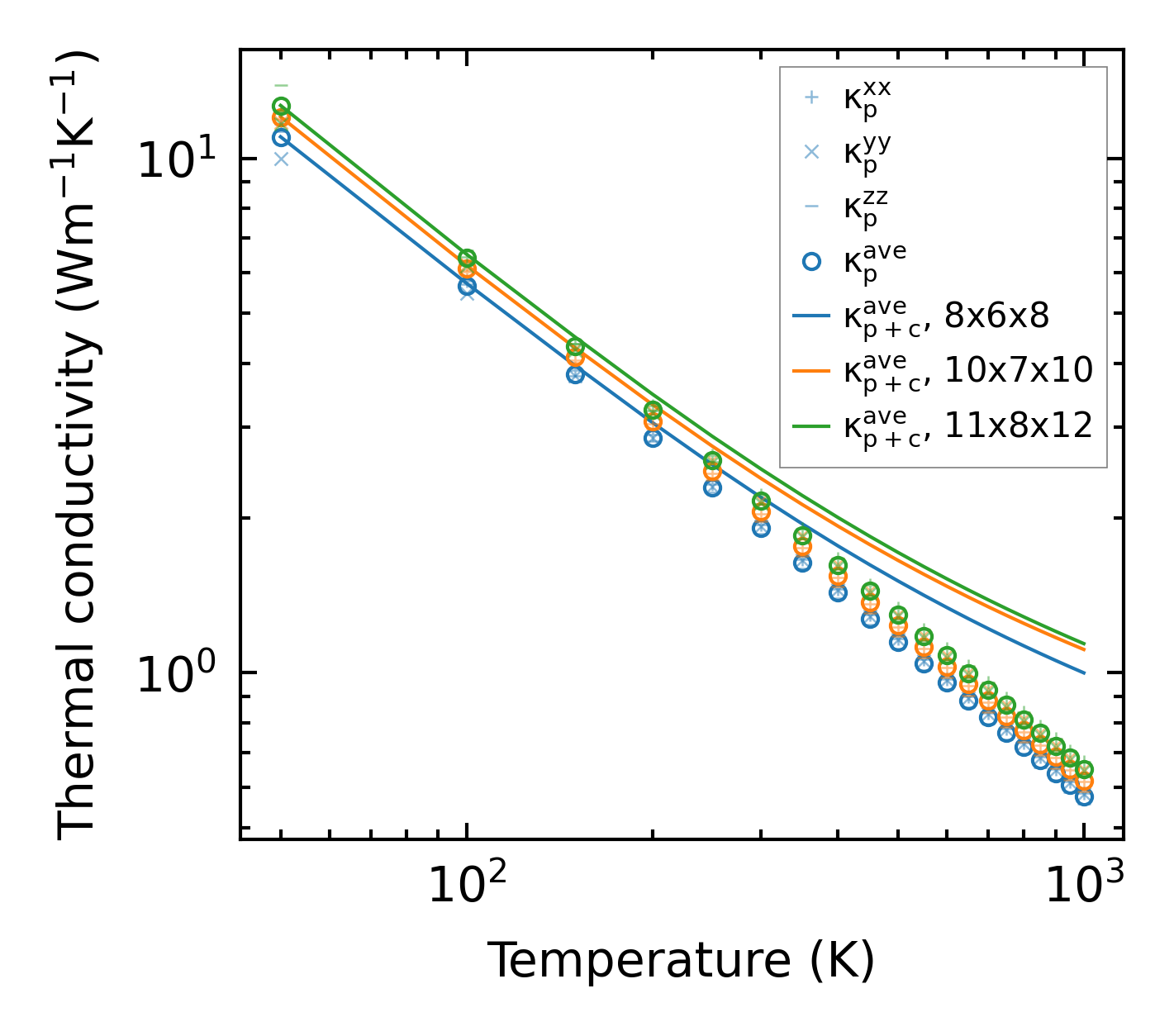
../../_images/fig_kappa2474.png

(a) Temperature-dependent lattice thermal conductivity

../../_images/fig_times4060.png

(b) Computation time