mp-770741/Mg3As2O8/anharm

Harmonic properties

../../_images/fig_bandos_pr2729.png

(a) Phonon dispersion with participation ratio and DOS

../../_images/fig_thermo2729.png

(b) Thermodynamic properties

Grüneisen parameters

../../_images/fig_gru_all1370.png

(a) Grüneisen parameters

../../_images/fig_gruneisen1370.png

(b) Phonon dispersion with Grüneisen parameters

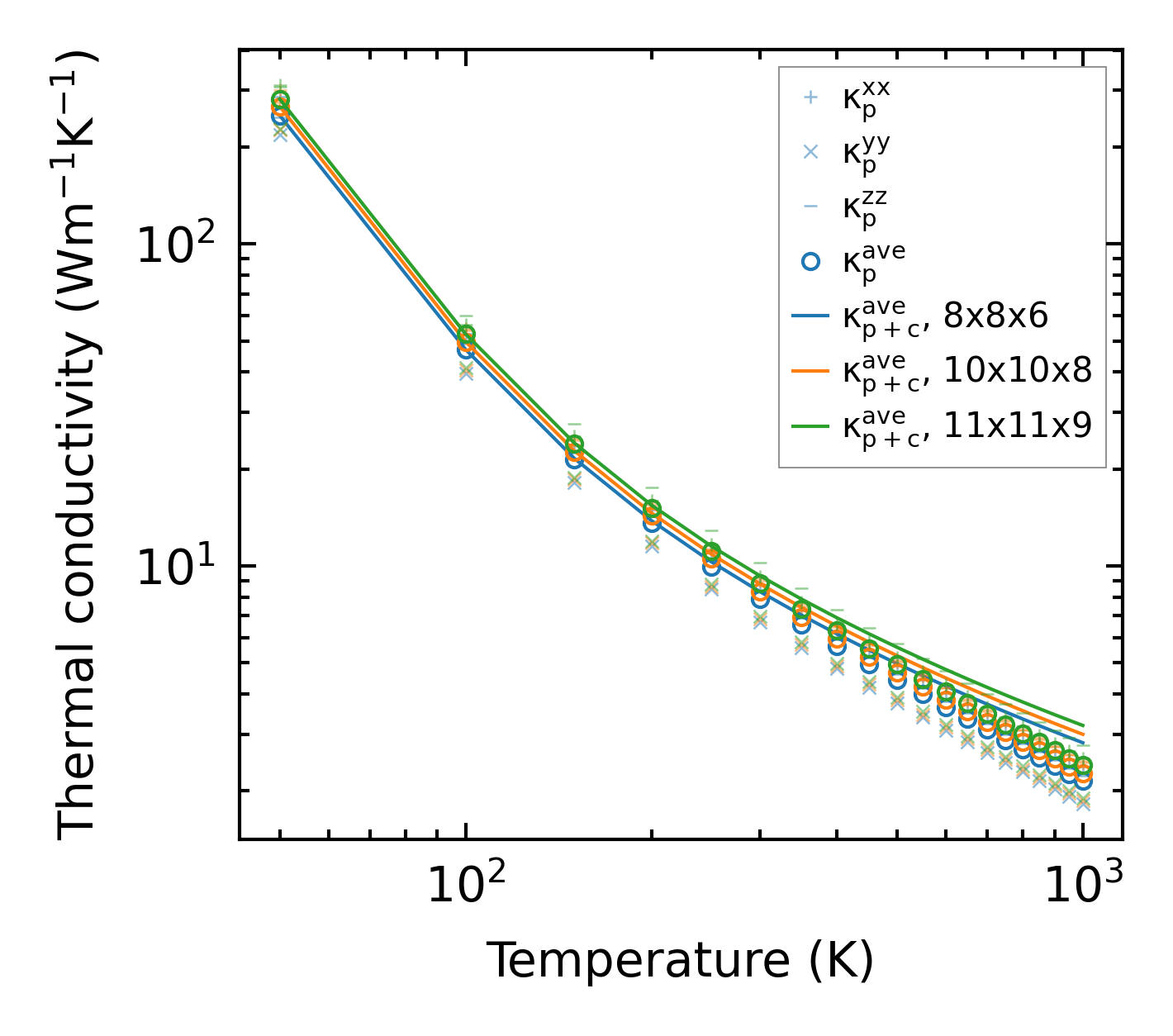
Thermal conductivity

3-phonon (LASSO) — q-mesh: 11x11x9, supercell: 2x1x1

../../_images/fig_kappa2641.png

(a) Temperature-dependent lattice thermal conductivity

../../_images/fig_kappa_vs_grain_size1386.png

(b) Peierls lattice thermal conductivity w.r.t grain size

Phonon lifetime and scattering rates

../../_images/fig_lifetime1360.png

(a) Phonon lifetime due to phonon-phonon scattering

../../_images/fig_scat_rates1359.png

(b) Phonon scattering rates

Cumulative and spectral thermal conductivity

../../_images/fig_cumu_frequency1360.png

(a) Spectral and cumulative thermal conductivity w.r.t frequency

../../_images/fig_cumu_mfp1360.png

(b) Spectral and cumulative thermal conductivity w.r.t MFP

Force constants

../../_images/fig_fc22550.png

(a) Force constants w.r.t atomic distance

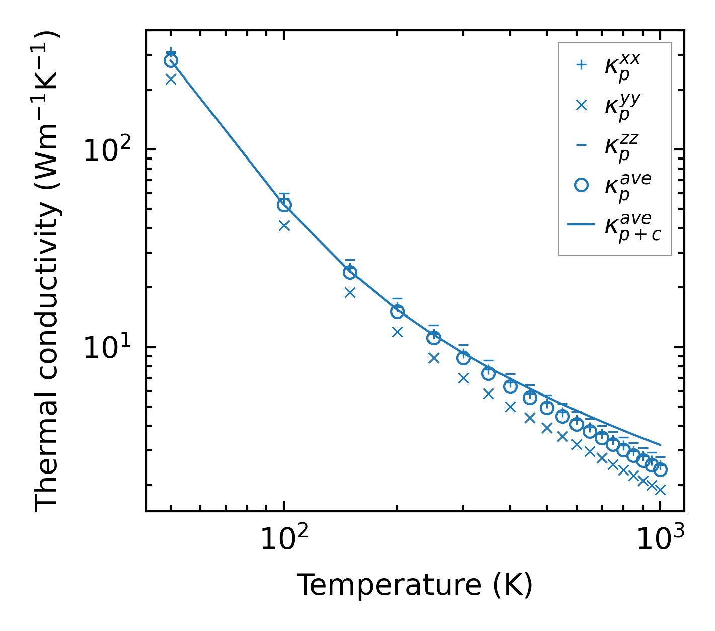
Summary

../../_images/fig_kappa2642.png

(a) Temperature-dependent lattice thermal conductivity

../../_images/fig_times4573.png

(b) Computation time