mp-770754/HoCl3O12/harm

Harmonic properties

../../_images/fig_bandos_pr2732.png

(a) Phonon dispersion with participation ratio and DOS

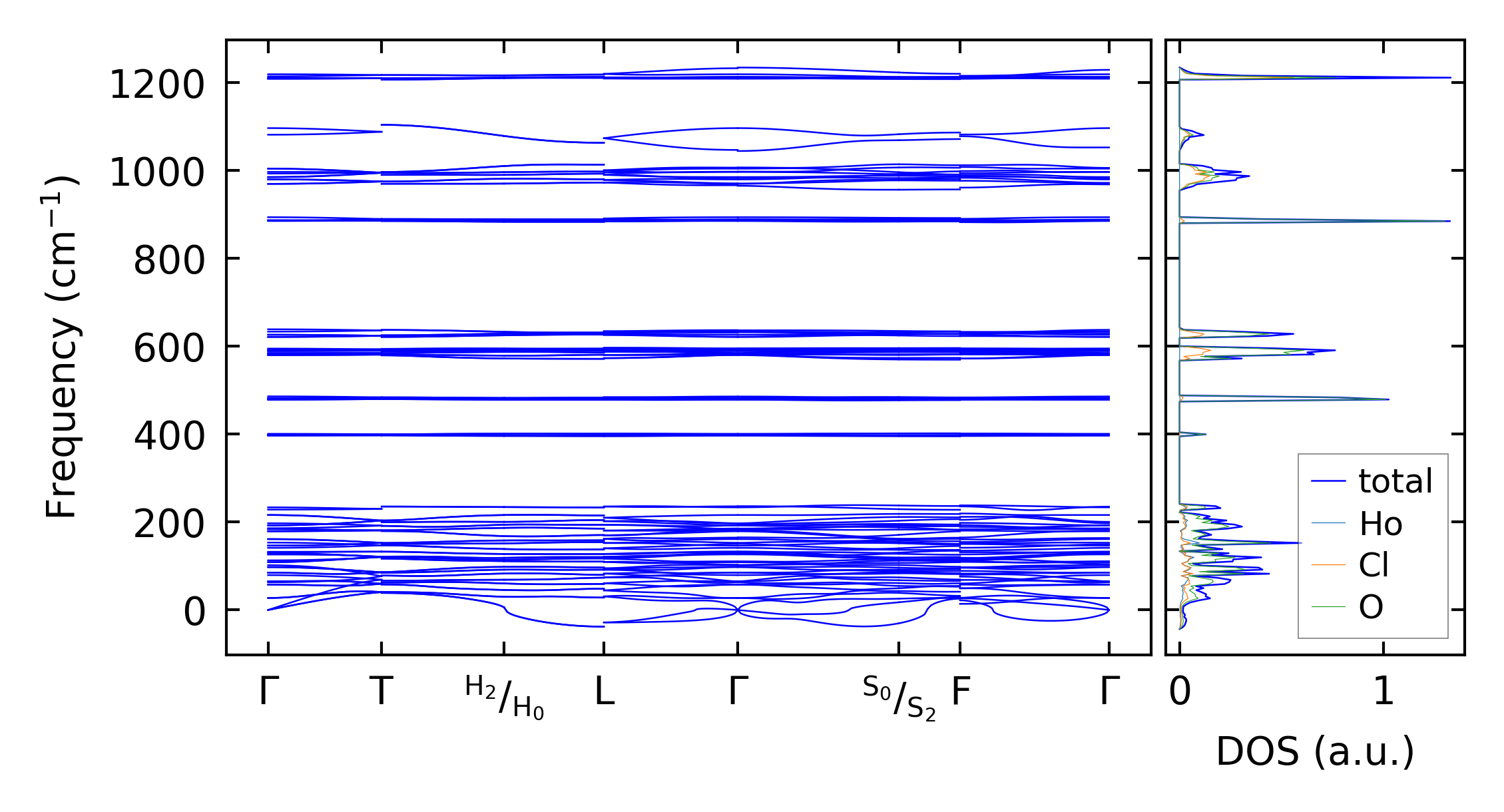
../../_images/fig_bandos3346.png

(b) Phonon dispersion and DOS

../../_images/fig_thermo2732.png

(c) Thermodynamic properties

Force constants

../../_images/fig_fc22553.png

(a) Force constants w.r.t atomic distance

Summary

../../_images/fig_times4577.png

(a) Computation time