mp-698644/Tm2PbS4/harm

Harmonic properties

../../_images/fig_bandos_pr4744.png

(a) Phonon dispersion with participation ratio and DOS

../../_images/fig_bandos6601.png

(b) Phonon dispersion and DOS

../../_images/fig_thermo4744.png

(c) Thermodynamic properties

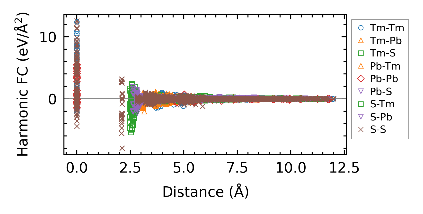
Force constants

../../_images/fig_fc24555.png

(a) Force constants w.r.t atomic distance

Summary

../../_images/fig_times8416.png

(a) Computation time