mp-698101-2/UH8O8/anharm

Harmonic properties

../../_images/fig_bandos_pr4710.png

(a) Phonon dispersion with participation ratio and DOS

../../_images/fig_thermo4710.png

(b) Thermodynamic properties

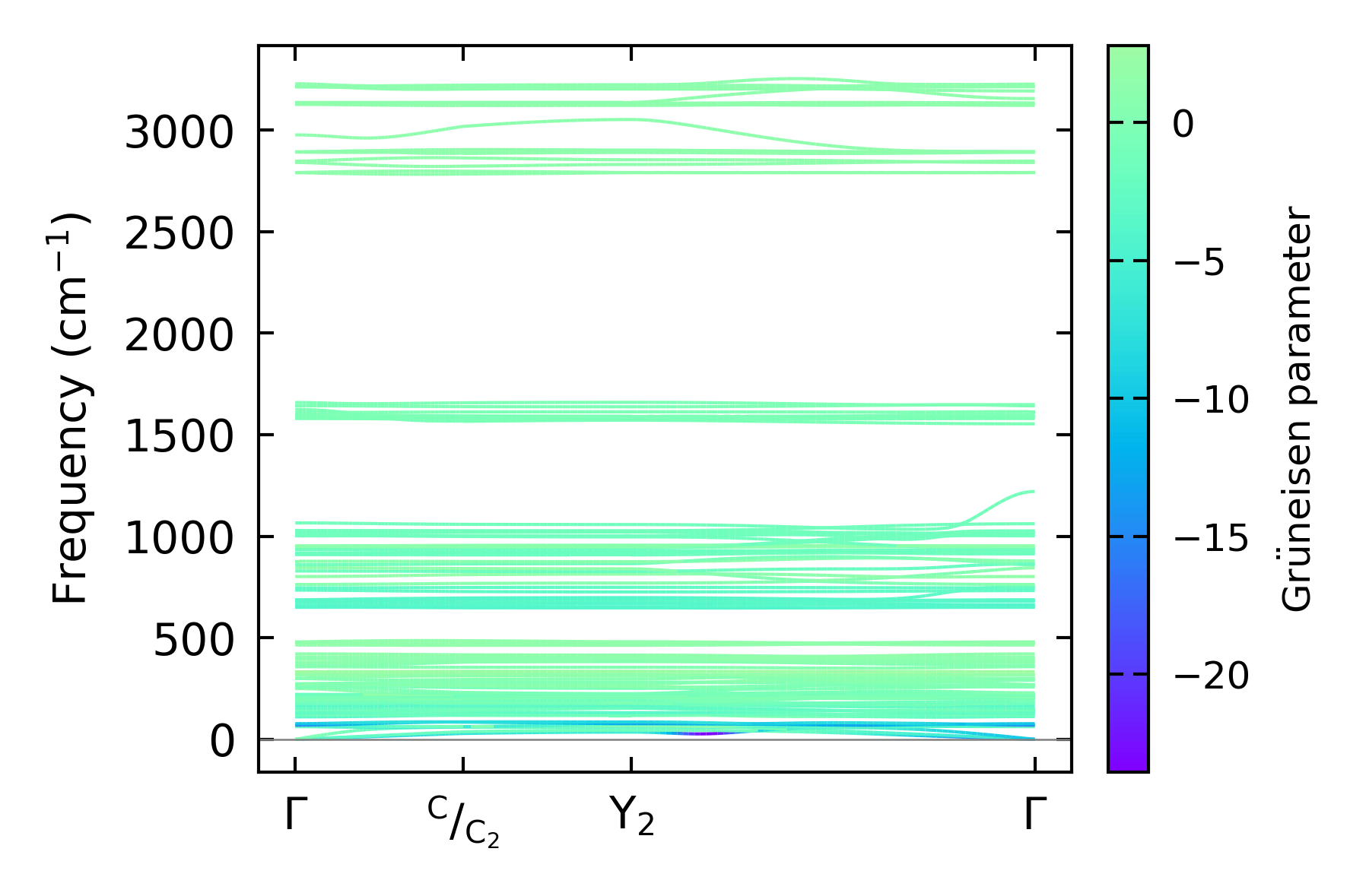
Grüneisen parameters

../../_images/fig_gru_all2042.png

(a) Grüneisen parameters

../../_images/fig_gruneisen2042.png

(b) Phonon dispersion with Grüneisen parameters

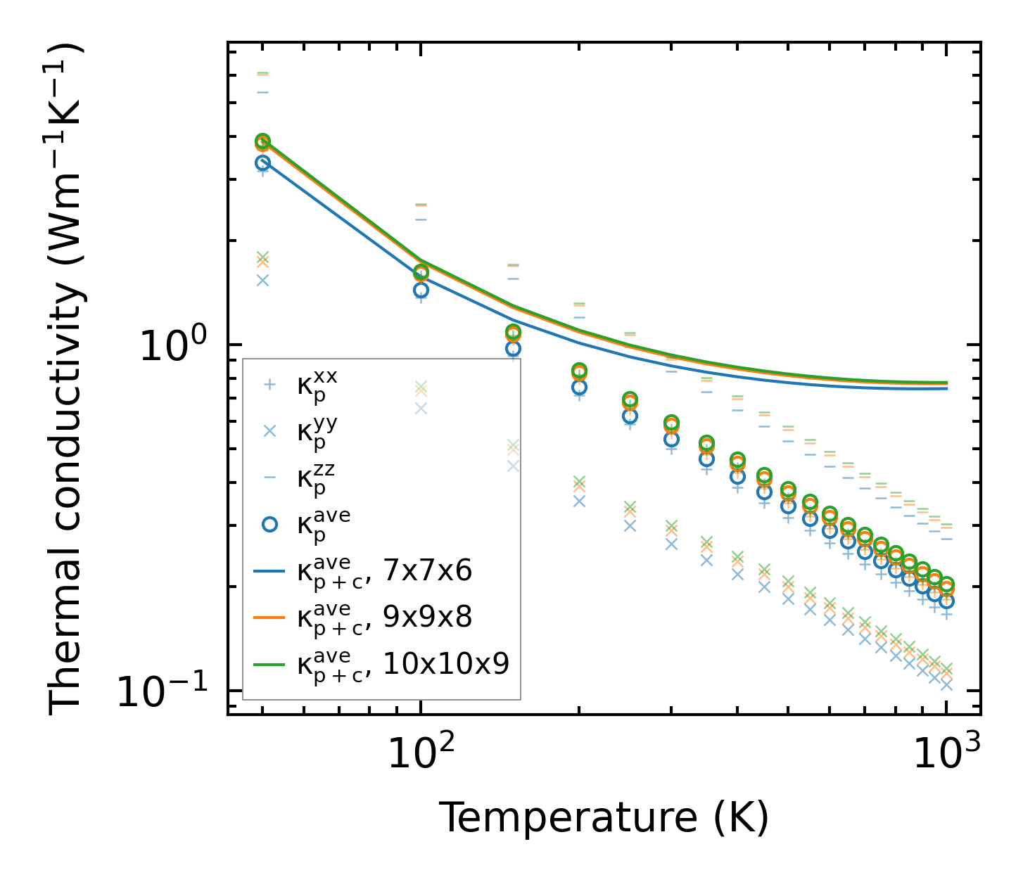
Thermal conductivity

3-phonon (LASSO) — q-mesh: 10x10x9, supercell: 1x2x1

../../_images/fig_kappa3913.png

(a) Temperature-dependent lattice thermal conductivity

../../_images/fig_kappa_vs_grain_size2071.png

(b) Peierls lattice thermal conductivity w.r.t grain size

Phonon lifetime and scattering rates

../../_images/fig_lifetime2029.png

(a) Phonon lifetime due to phonon-phonon scattering

../../_images/fig_scat_rates2028.png

(b) Phonon scattering rates

Cumulative and spectral thermal conductivity

../../_images/fig_cumu_frequency2029.png

(a) Spectral and cumulative thermal conductivity w.r.t frequency

../../_images/fig_cumu_mfp2029.png

(b) Spectral and cumulative thermal conductivity w.r.t MFP

Force constants

../../_images/fig_fc24521.png

(a) Force constants w.r.t atomic distance

Summary

../../_images/fig_kappa3914.png

(a) Temperature-dependent lattice thermal conductivity

../../_images/fig_times8357.png

(b) Computation time