mp-698114-2/Ba2AlH7/anharm

Equation of state

../../_images/fig_bm2349.png

(a) Equation of state

Harmonic properties

../../_images/fig_bandos_pr4712.png

(a) Phonon dispersion with participation ratio and DOS

../../_images/fig_thermo4712.png

(b) Thermodynamic properties

Grüneisen parameters

../../_images/fig_gru_all2044.png

(a) Grüneisen parameters

../../_images/fig_gruneisen2044.png

(b) Phonon dispersion with Grüneisen parameters

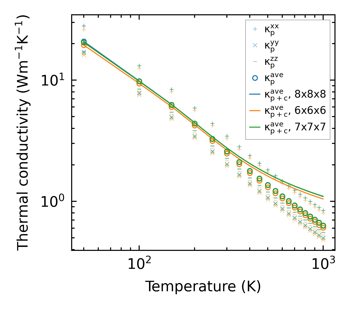
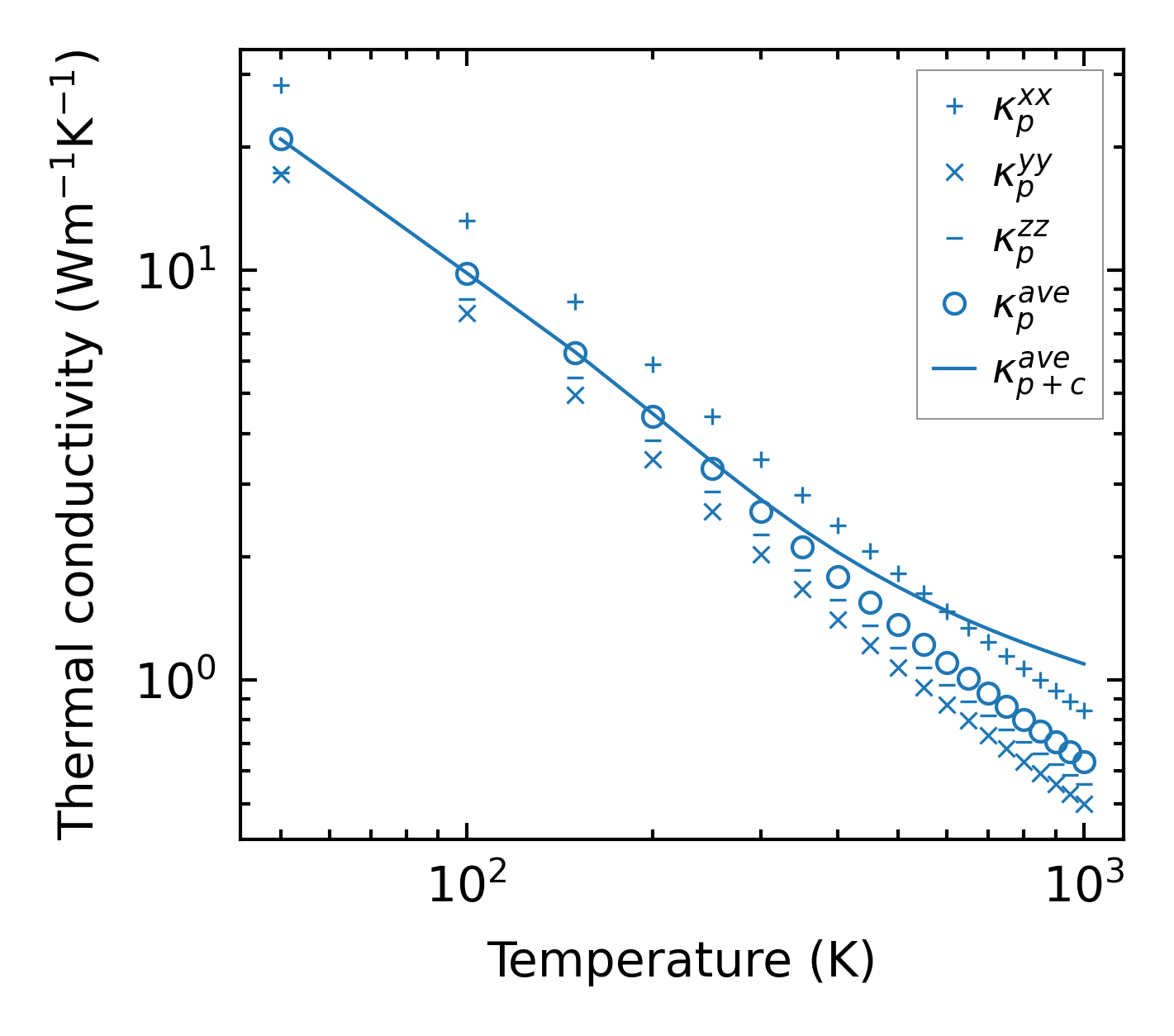
Thermal conductivity

3-phonon (LASSO) — q-mesh: 8x8x8, supercell: 1x1x1

../../_images/fig_kappa3917.png

(a) Temperature-dependent lattice thermal conductivity

../../_images/fig_kappa_vs_grain_size2073.png

(b) Peierls lattice thermal conductivity w.r.t grain size

Phonon lifetime and scattering rates

../../_images/fig_lifetime2031.png

(a) Phonon lifetime due to phonon-phonon scattering

../../_images/fig_scat_rates2030.png

(b) Phonon scattering rates

Cumulative and spectral thermal conductivity

../../_images/fig_cumu_frequency2031.png

(a) Spectral and cumulative thermal conductivity w.r.t frequency

../../_images/fig_cumu_mfp2031.png

(b) Spectral and cumulative thermal conductivity w.r.t MFP

Force constants

../../_images/fig_fc24523.png

(a) Force constants w.r.t atomic distance

Summary

../../_images/fig_kappa3918.png

(a) Temperature-dependent lattice thermal conductivity

../../_images/fig_times8359.png

(b) Computation time