mp-698205/LiBH2O4/anharm

Equation of state

../../_images/fig_bm2350.png

(a) Equation of state

Harmonic properties

../../_images/fig_bandos_pr4715.png

(a) Phonon dispersion with participation ratio and DOS

../../_images/fig_thermo4715.png

(b) Thermodynamic properties

Grüneisen parameters

../../_images/fig_gru_all2045.png

(a) Grüneisen parameters

../../_images/fig_gruneisen2045.png

(b) Phonon dispersion with Grüneisen parameters

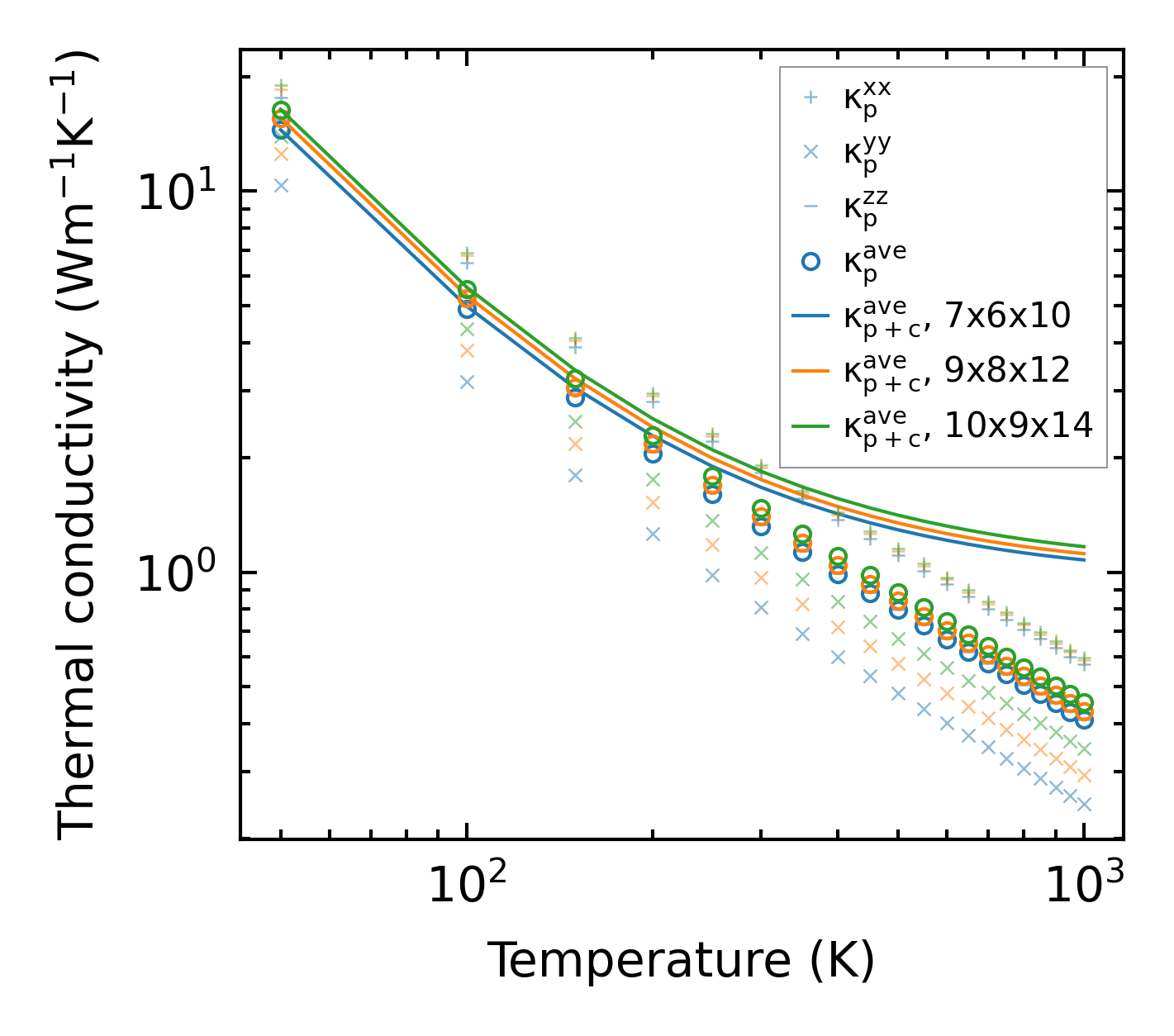
Thermal conductivity

3-phonon (LASSO) — q-mesh: 10x9x14, supercell: 2x1x2

../../_images/fig_kappa3919.png

(a) Temperature-dependent lattice thermal conductivity

../../_images/fig_kappa_vs_grain_size2074.png

(b) Peierls lattice thermal conductivity w.r.t grain size

Phonon lifetime and scattering rates

../../_images/fig_lifetime2032.png

(a) Phonon lifetime due to phonon-phonon scattering

../../_images/fig_scat_rates2031.png

(b) Phonon scattering rates

Cumulative and spectral thermal conductivity

../../_images/fig_cumu_frequency2032.png

(a) Spectral and cumulative thermal conductivity w.r.t frequency

../../_images/fig_cumu_mfp2032.png

(b) Spectral and cumulative thermal conductivity w.r.t MFP

Force constants

../../_images/fig_fc24526.png

(a) Force constants w.r.t atomic distance

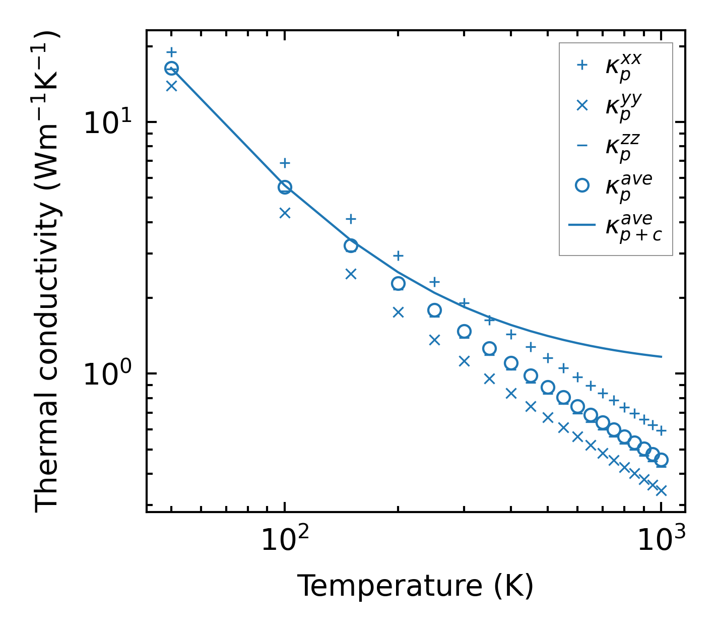
Summary

../../_images/fig_kappa3920.png

(a) Temperature-dependent lattice thermal conductivity

../../_images/fig_times8368.png

(b) Computation time