mp-674333/Na3PO4/anharm

Harmonic properties

../../_images/fig_bandos_pr5421.png

(a) Phonon dispersion with participation ratio and DOS

../../_images/fig_thermo5421.png

(b) Thermodynamic properties

Grüneisen parameters

../../_images/fig_gru_all2254.png

(a) Grüneisen parameters

../../_images/fig_gruneisen2254.png

(b) Phonon dispersion with Grüneisen parameters

Thermal conductivity

3-phonon (LASSO) — q-mesh: 13x10x12, supercell: 2x2x2

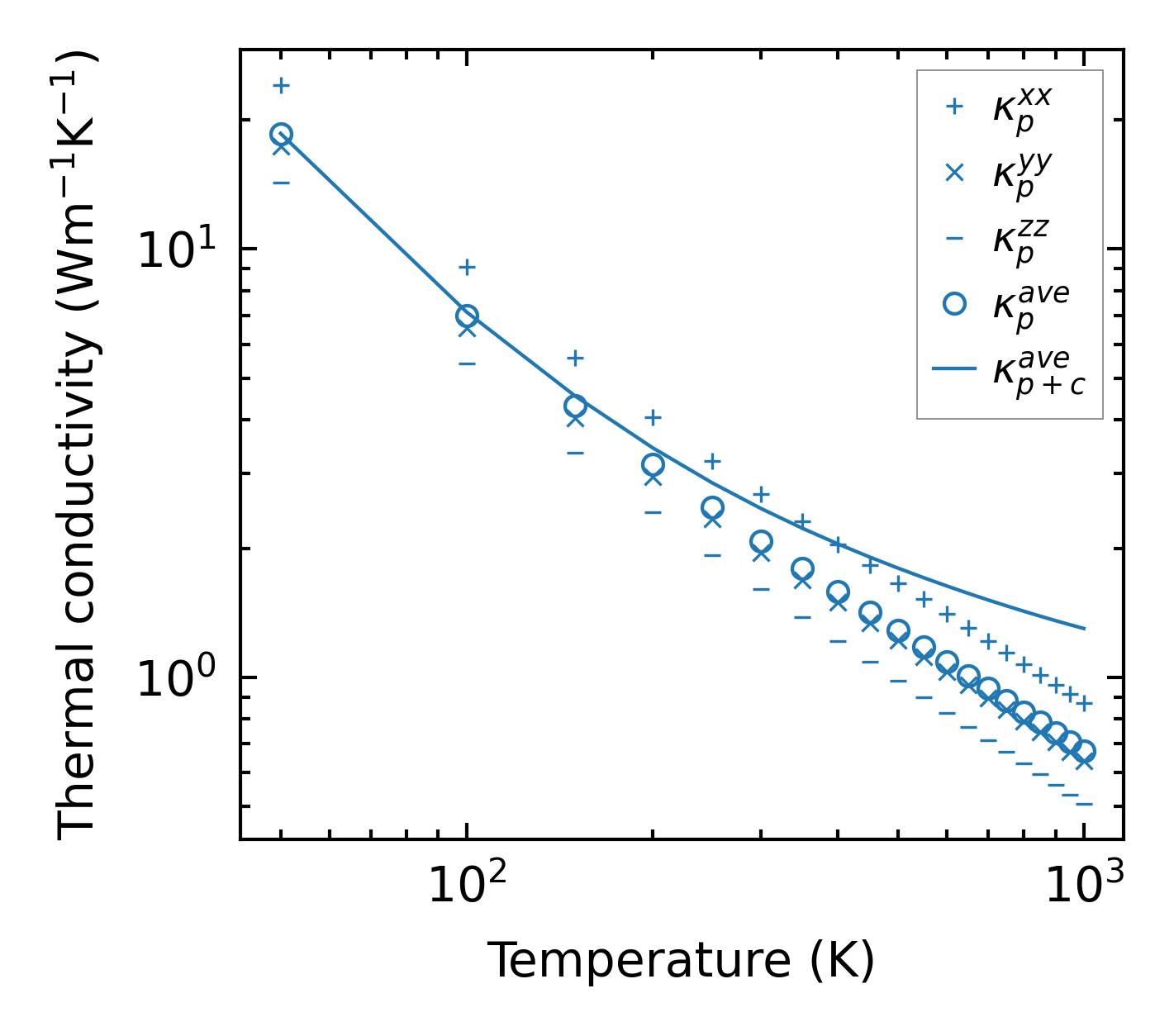
../../_images/fig_kappa4312.png

(a) Temperature-dependent lattice thermal conductivity

../../_images/fig_kappa_vs_grain_size2285.png

(b) Peierls lattice thermal conductivity w.r.t grain size

Phonon lifetime and scattering rates

../../_images/fig_lifetime2240.png

(a) Phonon lifetime due to phonon-phonon scattering

../../_images/fig_scat_rates2239.png

(b) Phonon scattering rates

Cumulative and spectral thermal conductivity

../../_images/fig_cumu_frequency2240.png

(a) Spectral and cumulative thermal conductivity w.r.t frequency

../../_images/fig_cumu_mfp2240.png

(b) Spectral and cumulative thermal conductivity w.r.t MFP

Force constants

../../_images/fig_fc25226.png

(a) Force constants w.r.t atomic distance

Summary

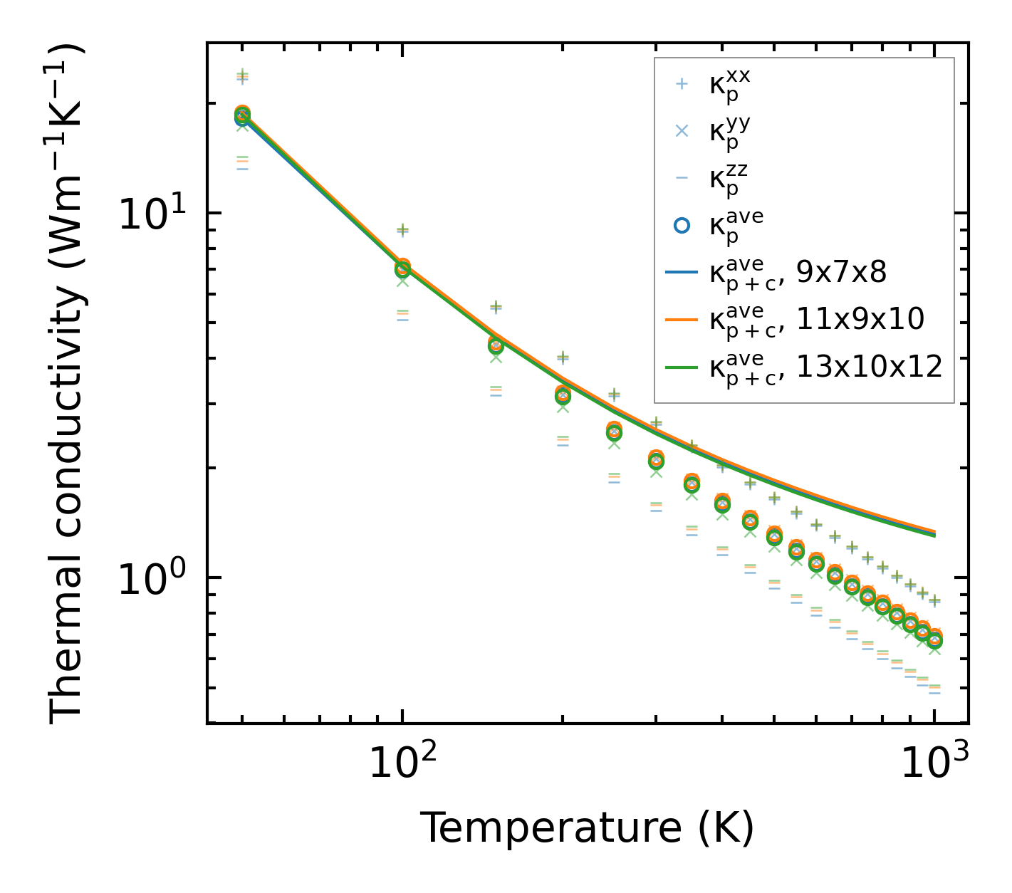
../../_images/fig_kappa4313.png

(a) Temperature-dependent lattice thermal conductivity

../../_images/fig_times9827.png

(b) Computation time