mp-674328-2/ZnIn2S4/anharm

Equation of state

../../_images/fig_bm2645.png

(a) Equation of state

Harmonic properties

../../_images/fig_bandos_pr5420.png

(a) Phonon dispersion with participation ratio and DOS

../../_images/fig_thermo5420.png

(b) Thermodynamic properties

Grüneisen parameters

../../_images/fig_gru_all2253.png

(a) Grüneisen parameters

../../_images/fig_gruneisen2253.png

(b) Phonon dispersion with Grüneisen parameters

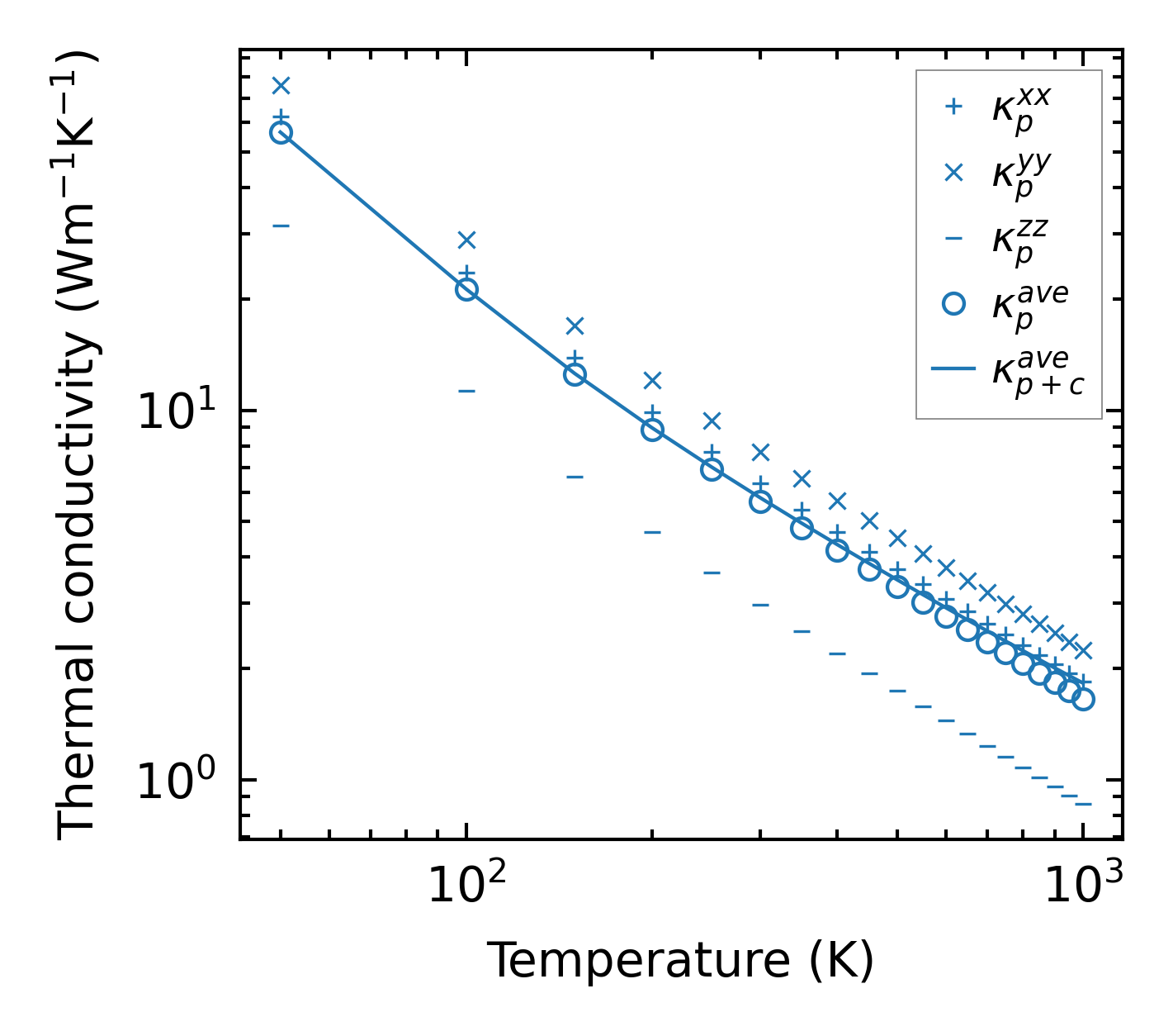
Thermal conductivity

3-phonon (LASSO) — q-mesh: 10x18x5, supercell: 2x4x1

../../_images/fig_kappa4310.png

(a) Temperature-dependent lattice thermal conductivity

../../_images/fig_kappa_vs_grain_size2284.png

(b) Peierls lattice thermal conductivity w.r.t grain size

Phonon lifetime and scattering rates

../../_images/fig_lifetime2239.png

(a) Phonon lifetime due to phonon-phonon scattering

../../_images/fig_scat_rates2238.png

(b) Phonon scattering rates

Cumulative and spectral thermal conductivity

../../_images/fig_cumu_frequency2239.png

(a) Spectral and cumulative thermal conductivity w.r.t frequency

../../_images/fig_cumu_mfp2239.png

(b) Spectral and cumulative thermal conductivity w.r.t MFP

Force constants

../../_images/fig_fc25225.png

(a) Force constants w.r.t atomic distance

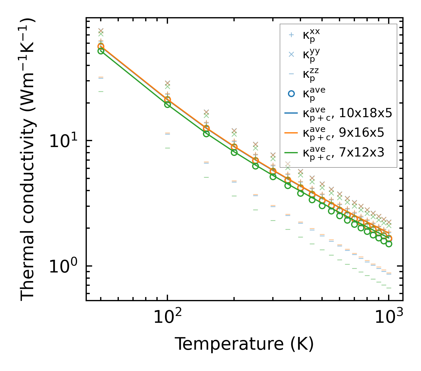
Summary

../../_images/fig_kappa4311.png

(a) Temperature-dependent lattice thermal conductivity

../../_images/fig_times9826.png

(b) Computation time