mp-667323-2/MgGa2S4/anharm

Equation of state

../../_images/fig_bm2608.png

(a) Equation of state

Harmonic properties

../../_images/fig_bandos_pr5363.png

(a) Phonon dispersion with participation ratio and DOS

../../_images/fig_bandos7708.png

(b) Phonon dispersion and DOS

../../_images/fig_thermo5363.png

(c) Thermodynamic properties

Grüneisen parameters

../../_images/fig_gru_all2232.png

(a) Grüneisen parameters

../../_images/fig_gruneisen2232.png

(b) Phonon dispersion with Grüneisen parameters

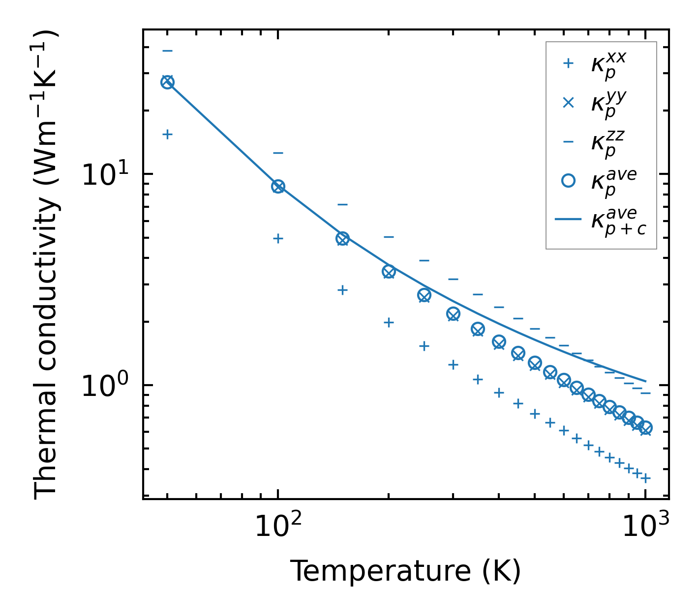
Thermal conductivity

3-phonon (LASSO), supercell 1x1x2 — q-mesh: 5x5x12, supercell: 1x1x2

../../_images/fig_kappa4271.png

(a) Temperature-dependent lattice thermal conductivity

../../_images/fig_kappa_vs_grain_size2263.png

(b) Peierls lattice thermal conductivity w.r.t grain size

Phonon lifetime and scattering rates

../../_images/fig_lifetime2218.png

(a) Phonon lifetime due to phonon-phonon scattering

../../_images/fig_scat_rates2217.png

(b) Phonon scattering rates

Cumulative and spectral thermal conductivity

../../_images/fig_cumu_frequency2218.png

(a) Spectral and cumulative thermal conductivity w.r.t frequency

../../_images/fig_cumu_mfp2218.png

(b) Spectral and cumulative thermal conductivity w.r.t MFP

Force constants

../../_images/fig_fc25168.png

(a) Force constants w.r.t atomic distance

Summary

../../_images/fig_times9692.png

(a) Computation time