mp-667286/Re6Te7Se8/anharm

Harmonic properties

../../_images/fig_bandos_pr5357.png

(a) Phonon dispersion with participation ratio and DOS

../../_images/fig_thermo5357.png

(b) Thermodynamic properties

Grüneisen parameters

../../_images/fig_gru_all2230.png

(a) Grüneisen parameters

../../_images/fig_gruneisen2230.png

(b) Phonon dispersion with Grüneisen parameters

Thermal conductivity

3-phonon (LASSO) — q-mesh: 5x5x5, supercell: 1x1x1

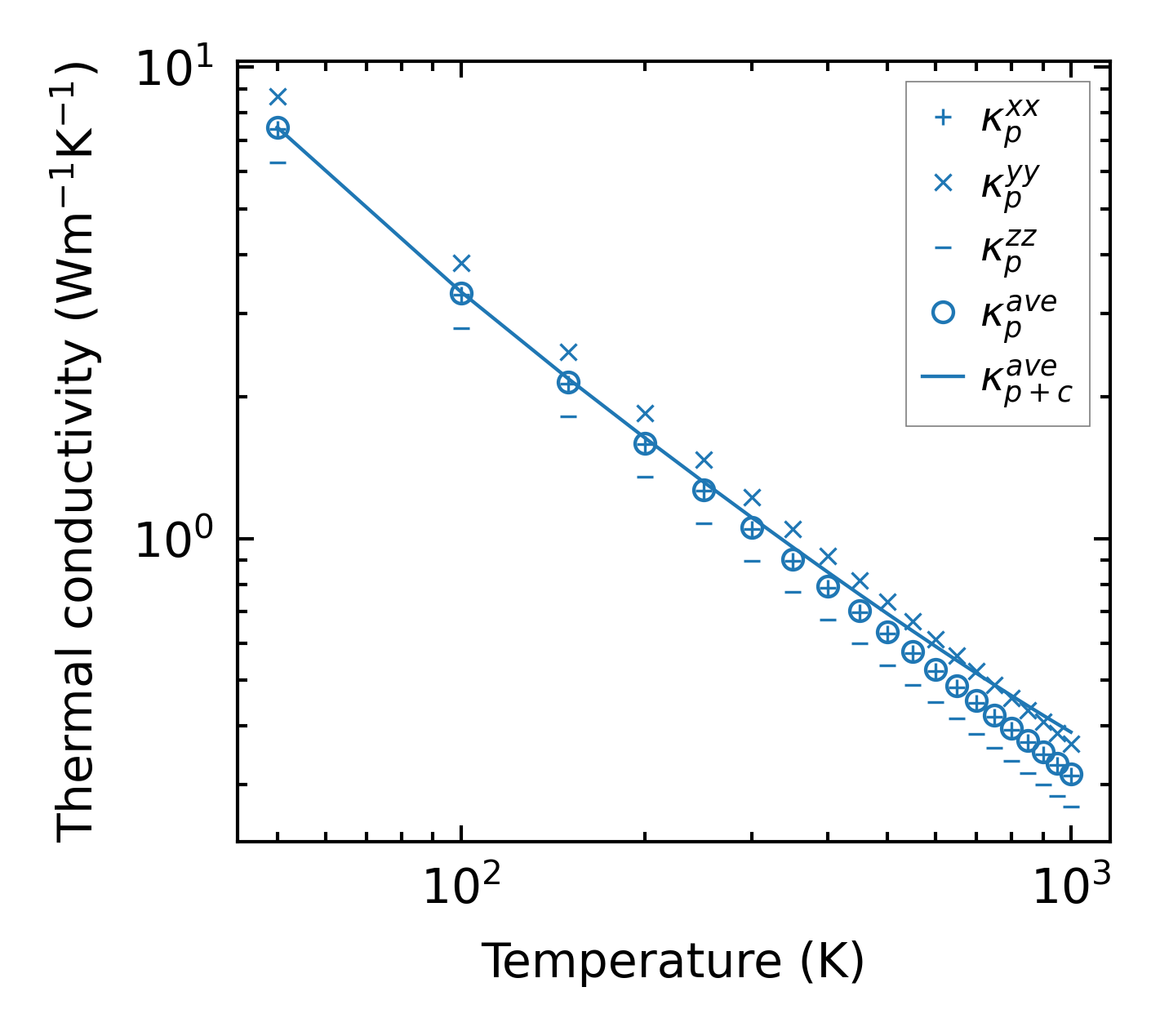
../../_images/fig_kappa4267.png

(a) Temperature-dependent lattice thermal conductivity

../../_images/fig_kappa_vs_grain_size2261.png

(b) Peierls lattice thermal conductivity w.r.t grain size

Phonon lifetime and scattering rates

../../_images/fig_lifetime2216.png

(a) Phonon lifetime due to phonon-phonon scattering

../../_images/fig_scat_rates2215.png

(b) Phonon scattering rates

Cumulative and spectral thermal conductivity

../../_images/fig_cumu_frequency2216.png

(a) Spectral and cumulative thermal conductivity w.r.t frequency

../../_images/fig_cumu_mfp2216.png

(b) Spectral and cumulative thermal conductivity w.r.t MFP

Force constants

../../_images/fig_fc25162.png

(a) Force constants w.r.t atomic distance

Summary

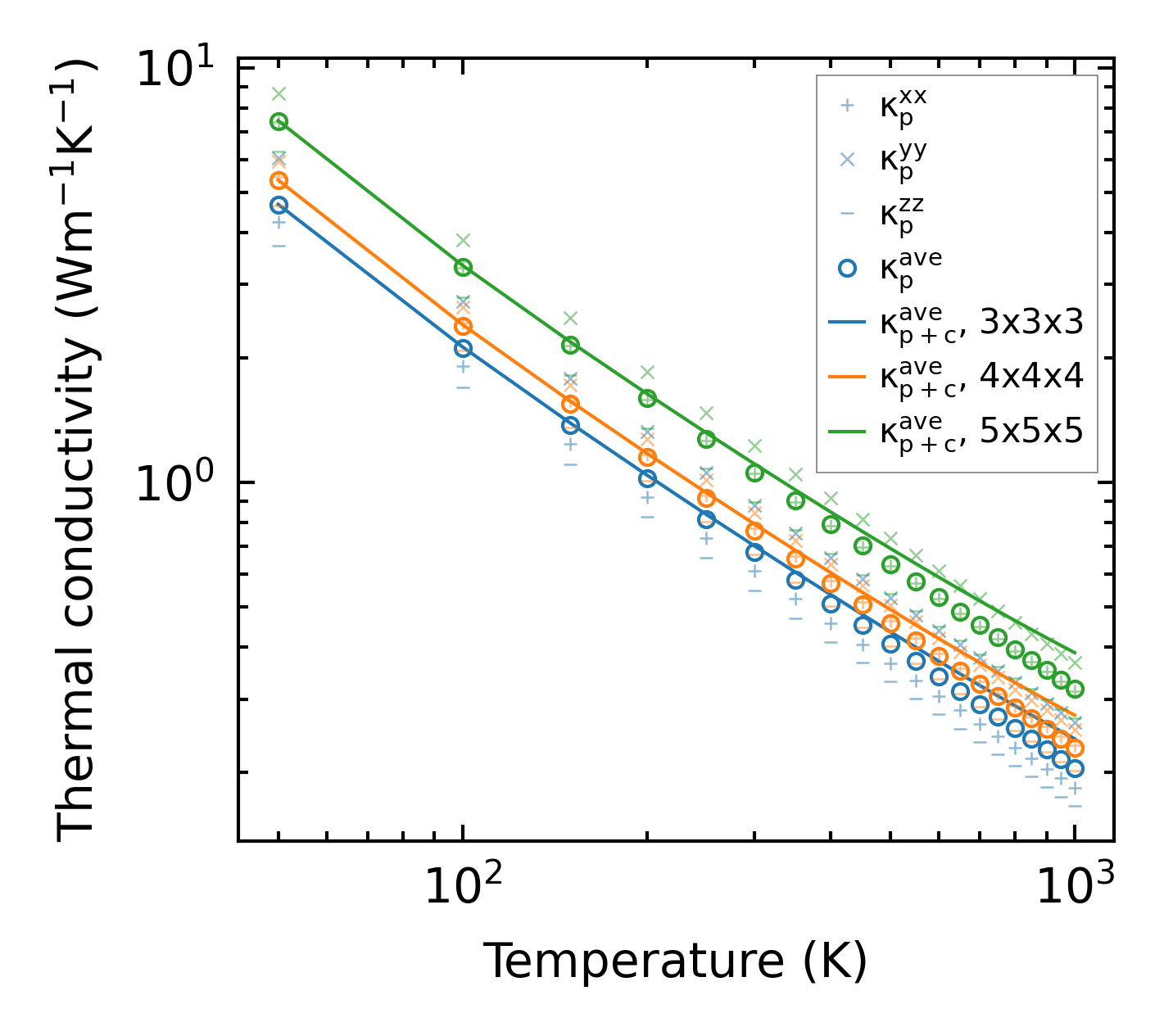
../../_images/fig_kappa4268.png

(a) Temperature-dependent lattice thermal conductivity

../../_images/fig_times9685.png

(b) Computation time