mp-667314/Ba9Ta2N12/anharm

Harmonic properties

../../_images/fig_bandos_pr5361.png

(a) Phonon dispersion with participation ratio and DOS

../../_images/fig_thermo5361.png

(b) Thermodynamic properties

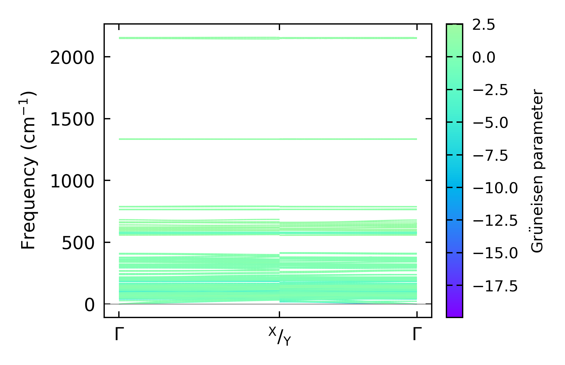
Grüneisen parameters

../../_images/fig_gru_all2231.png

(a) Grüneisen parameters

../../_images/fig_gruneisen2231.png

(b) Phonon dispersion with Grüneisen parameters

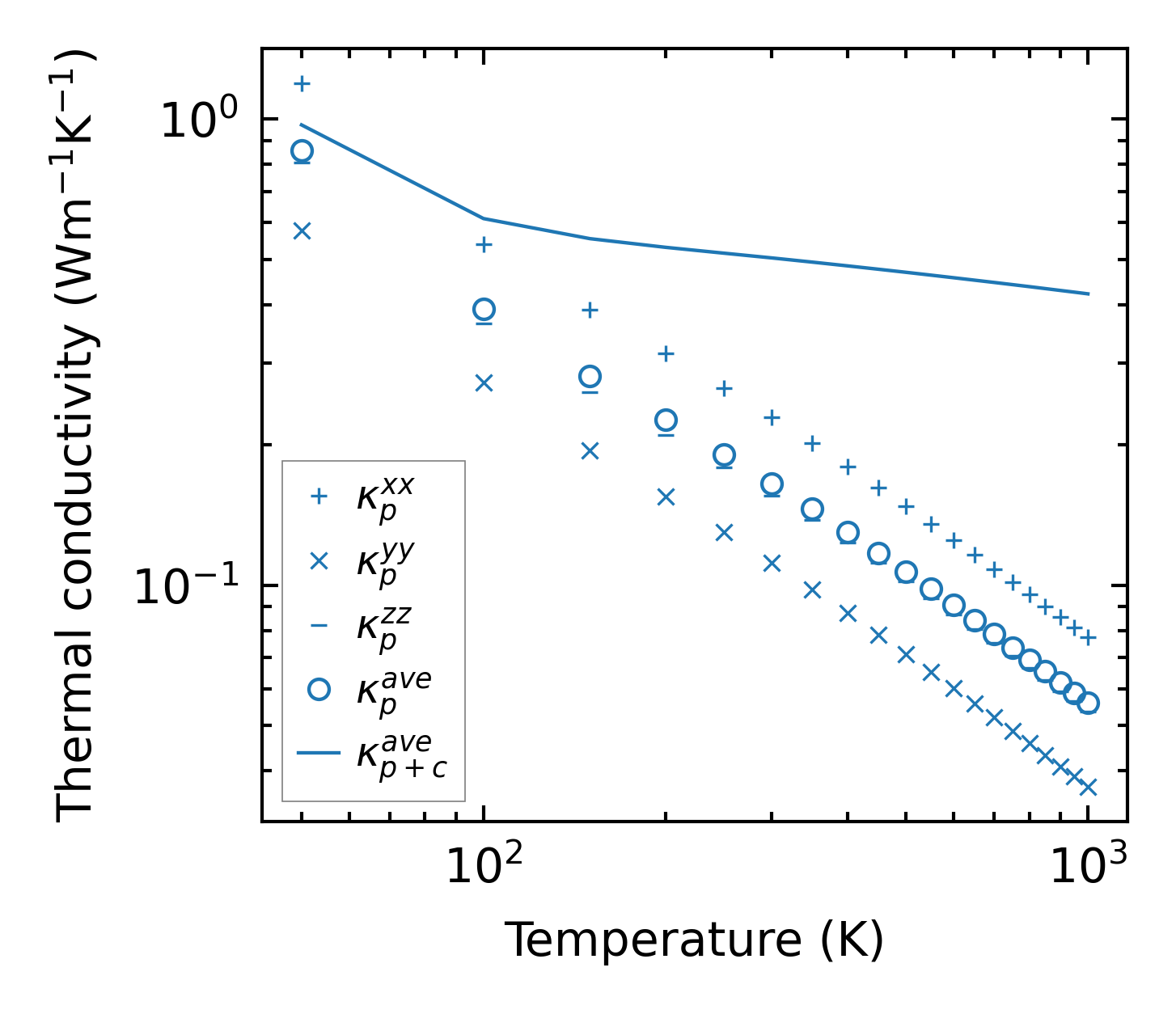
Thermal conductivity

3-phonon (LASSO) — q-mesh: 9x7x5, supercell: 2x1x1

../../_images/fig_kappa4269.png

(a) Temperature-dependent lattice thermal conductivity

../../_images/fig_kappa_vs_grain_size2262.png

(b) Peierls lattice thermal conductivity w.r.t grain size

Phonon lifetime and scattering rates

../../_images/fig_lifetime2217.png

(a) Phonon lifetime due to phonon-phonon scattering

../../_images/fig_scat_rates2216.png

(b) Phonon scattering rates

Cumulative and spectral thermal conductivity

../../_images/fig_cumu_frequency2217.png

(a) Spectral and cumulative thermal conductivity w.r.t frequency

../../_images/fig_cumu_mfp2217.png

(b) Spectral and cumulative thermal conductivity w.r.t MFP

Force constants

../../_images/fig_fc25166.png

(a) Force constants w.r.t atomic distance

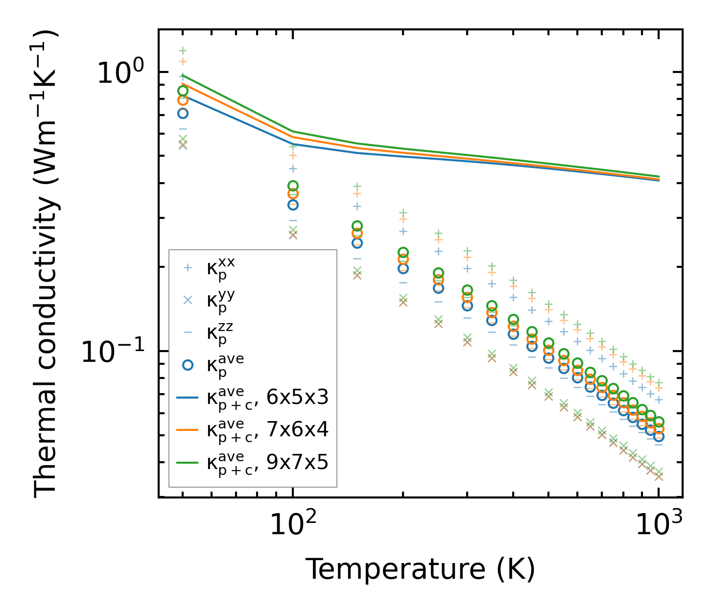
Summary

../../_images/fig_kappa4270.png

(a) Temperature-dependent lattice thermal conductivity

../../_images/fig_times9690.png

(b) Computation time